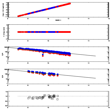
Left plots: red are targets, blue are telluric. Observed mags are calculated from median value of green chip. Zeropoint gives overall throughput: bigger number is more throughput.
First spatial plots: circles are objects, squares are tellurics, crosses are sky fibers. Colors give deviation of observed mag from expected 2MASS mag using the median zeropoint; red is brighter
Second spatial plots: circles are sky fibers. Colors give sky line brightness relative to plate median sky line brightness
FrameNreadsZeropointsMag plots Spatial mag deviation Spatial sky 16325A emission deviations (filled: sky, open: star) Spatial sky continuum emission Spatial sky telluric CO2 absorption deviations (filled: H < 10)
0 0
RedGreenBlue
z17.64
znorm Inf
sky -Inf -Inf -NaN
S/N 24.1 41.7 44.5
S/N(c) 0.0 0.0 0.0
SN(E/C) 0.90

IPAIRNAMESHIFTNEWSHIFTS/N NAMESHIFTNEWSHIFTS/N
0 02920014 0.399341 0.00000 18.9140 02920012 0.000730500 0.398610 18.8343
1 02920010 0.396781 0.00255999 19.0432 02920011 0.000133459 0.399208 19.1101
2 02920009 0.395779 0.00356197 18.9192 02920015 -0.000586596 0.399928 18.9306
3 02920013 0.397554 0.00178698 18.8820 02920008 0.00000 0.399341 18.7145