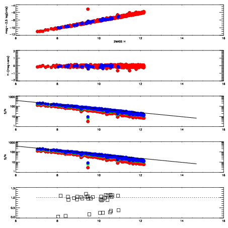
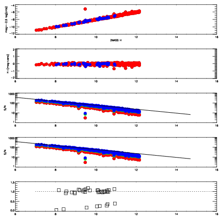
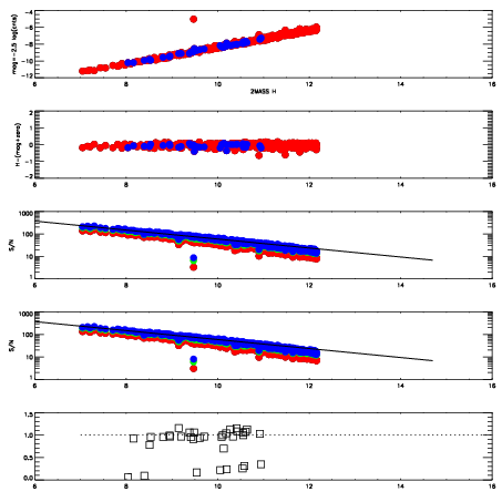
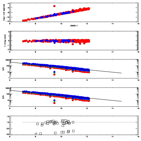
Frame | Nreads | Zeropoints | Mag plots
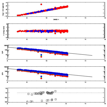
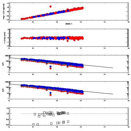
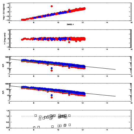
| Spatial mag deviation
| Spatial sky 16325A emission deviations (filled: sky, open: star)
| Spatial sky continuum emission
| Spatial sky telluric CO2 absorption deviations (filled: H < 10)
|
3070045
| 47
| | Red | Green | Blue
| z | | 18.79
| znorm | | 14.61
| sky | 14.6 | 14.2 | 14.2
| S/N | 13.2 | 21.7 | 22.5
| S/N(c) | 12.9 | 13.0 | 11.6
| SN(E/C) | 0.92
|
|
|
|
|
|
|
3070046
| 47
| | Red | Green | Blue
| z | | 18.61
| znorm | | 14.43
| sky | 14.7 | 14.5 | 14.7
| S/N | 11.4 | 19.5 | 20.4
| S/N(c) | 11.4 | 11.7 | 10.6
| SN(E/C) | 0.96
|
|
|
|
|
|
|
3070047
| 47
| | Red | Green | Blue
| z | | 18.60
| znorm | | 14.42
| sky | 14.6 | 14.5 | 14.6
| S/N | 11.2 | 19.4 | 20.3
| S/N(c) | 11.2 | 11.6 | 10.6
| SN(E/C) | 0.91
|
|
|
|
|
|
|
3070048
| 47
| | Red | Green | Blue
| z | | 18.10
| znorm | | 13.92
| sky | 14.8 | 14.6 | 14.7
| S/N | 7.5 | 14.0 | 14.6
| S/N(c) | 8.2 | 8.8 | 8.1
| SN(E/C) | 0.98
|
|
|
|
|
|
|
3070049
| 47
| | Red | Green | Blue
| z | | 18.21
| znorm | | 14.03
| sky | 14.8 | 14.6 | 14.7
| S/N | 8.1 | 15.0 | 15.6
| S/N(c) | 8.7 | 9.4 | 8.5
| SN(E/C) | 0.98
|
|
|
|
|
|
|
3070050
| 47
| | Red | Green | Blue
| z | | 18.42
| znorm | | 14.24
| sky | 14.7 | 14.6 | 14.5
| S/N | 9.3 | 17.4 | 18.2
| S/N(c) | 10.0 | 10.4 | 9.5
| SN(E/C) | 0.96
|
|
|
|
|
|
|
3070051
| 47
| | Red | Green | Blue
| z | | 18.64
| znorm | | 14.46
| sky | 14.7 | 14.6 | 14.8
| S/N | 11.3 | 19.9 | 20.9
| S/N(c) | 11.5 | 11.8 | 10.7
| SN(E/C) | 0.92
|
|
|
|
|
|
|
3070052
| 47
| | Red | Green | Blue
| z | | 18.85
| znorm | | 14.67
| sky | 14.7 | 14.6 | 14.5
| S/N | 13.0 | 22.4 | 23.8
| S/N(c) | 13.1 | 13.0 | 11.9
| SN(E/C) | 0.92
|
|
|
|
|
|
|