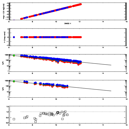
Left plots: red are targets, blue are telluric. Observed mags are calculated from median value of green chip. Zeropoint gives overall throughput: bigger number is more throughput.
First spatial plots: circles are objects, squares are tellurics, crosses are sky fibers. Colors give deviation of observed mag from expected 2MASS mag using the median zeropoint; red is brighter
Second spatial plots: circles are sky fibers. Colors give sky line brightness relative to plate median sky line brightness
FrameNreadsZeropointsMag plots Spatial mag deviation Spatial sky 16325A emission deviations (filled: sky, open: star) Spatial sky continuum emission Spatial sky telluric CO2 absorption deviations (filled: H < 10)
0 0
RedGreenBlue
z17.64
znorm Inf
sky -Inf -Inf -Inf
S/N 29.3 48.0 52.7
S/N(c) 0.0 0.0 0.0
SN(E/C) 0.80

IPAIRNAMESHIFTNEWSHIFTS/N NAMESHIFTNEWSHIFTS/N
0 03720044 0.507317 0.00000 19.1603 03720041 -0.000246759 0.507564 19.1448
1 03720040 0.505423 0.00189400 19.1694 03720045 -0.000133455 0.507450 19.1873
2 03720043 0.506170 0.00114703 19.1309 03720038 0.00000 0.507317 19.1346
3 03720039 0.503832 0.00348502 19.0836 03720042 -0.000246298 0.507563 19.1068