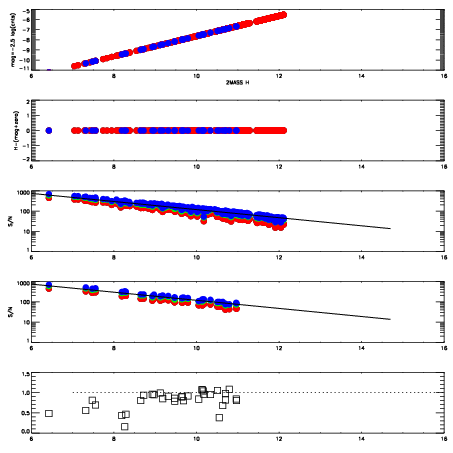
Left plots: red are targets, blue are telluric. Observed mags are calculated from median value of green chip. Zeropoint gives overall throughput: bigger number is more throughput.
First spatial plots: circles are objects, squares are tellurics, crosses are sky fibers. Colors give deviation of observed mag from expected 2MASS mag using the median zeropoint; red is brighter
Second spatial plots: circles are sky fibers. Colors give sky line brightness relative to plate median sky line brightness
FrameNreadsZeropointsMag plots Spatial mag deviation Spatial sky 16325A emission deviations (filled: sky, open: star) Spatial sky continuum emission Spatial sky telluric CO2 absorption deviations (filled: H < 10)
0 0
RedGreenBlue
z17.64
znorm Inf
sky -Inf -Inf -Inf
S/N 23.6 40.5 42.5
S/N(c) 0.0 0.0 0.0
SN(E/C) 0.85

IPAIRNAMESHIFTNEWSHIFTS/N NAMESHIFTNEWSHIFTS/N
0 04050027 0.500517 0.00000 18.5975 04050025 0.00000 0.500517 18.6974
1 04050031 0.497633 0.00288400 18.8539 04050032 4.09528e-05 0.500476 18.8188
2 04050030 0.498192 0.00232500 18.8313 04050028 0.000516722 0.500000 18.7826
3 04050026 0.499831 0.000686020 18.6555 04050029 -0.000584411 0.501101 18.6993