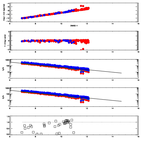
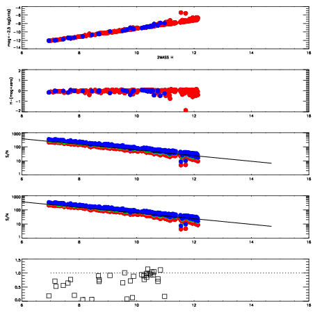
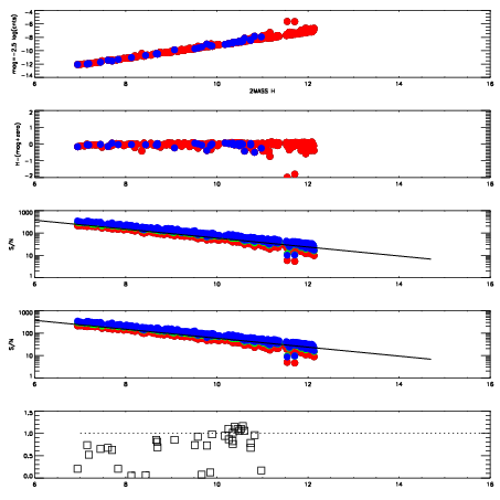
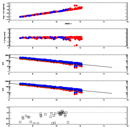
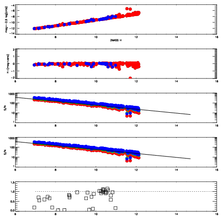
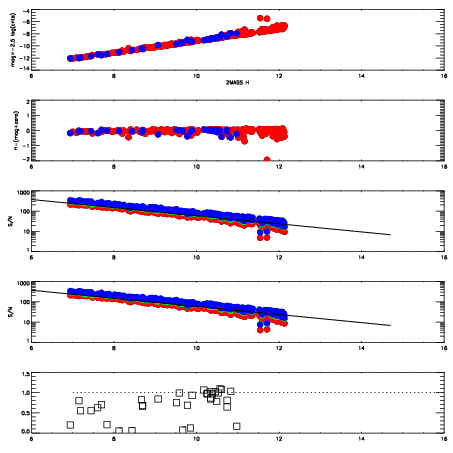
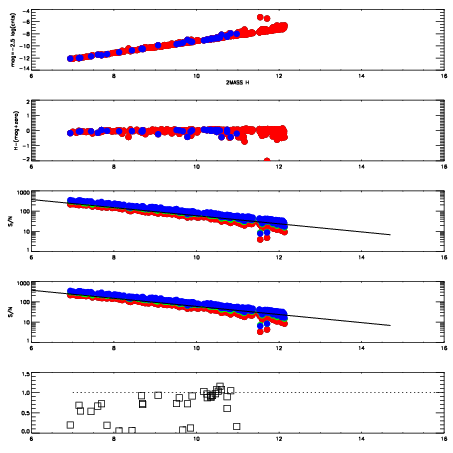
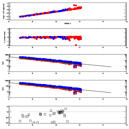
Frame | Nreads | Zeropoints | Mag plots
| Spatial mag deviation
| Spatial sky 16325A emission deviations (filled: sky, open: star)
| Spatial sky continuum emission
| Spatial sky telluric CO2 absorption deviations (filled: H < 10)
|
2850012
| 47
| | Red | Green | Blue
| z | | 19.16
| znorm | | 14.98
| sky | 14.4 | 14.3 | 14.2
| S/N | 16.8 | 25.5 | 26.7
| S/N(c) | 27.6 | 28.4 | 10.7
| SN(E/C) | 0.80
|
|
|
|
|
|
|
2850013
| 47
| | Red | Green | Blue
| z | | 19.17
| znorm | | 14.99
| sky | 14.4 | 14.4 | 14.5
| S/N | 16.5 | 25.1 | 27.1
| S/N(c) | 27.4 | 28.2 | 10.7
| SN(E/C) | 0.82
|
|
|
|
|
|
|
2850014
| 47
| | Red | Green | Blue
| z | | 19.17
| znorm | | 14.99
| sky | 14.4 | 14.5 | 14.5
| S/N | 16.5 | 25.6 | 27.2
| S/N(c) | 27.6 | 28.5 | 10.9
| SN(E/C) | 0.78
|
|
|
|
|
|
|
2850015
| 47
| | Red | Green | Blue
| z | | 19.17
| znorm | | 14.99
| sky | 14.5 | 14.4 | 14.5
| S/N | 16.4 | 25.2 | 27.3
| S/N(c) | 27.4 | 28.2 | 10.8
| SN(E/C) | 0.77
|
|
|
|
|
|
|
2850016
| 47
| | Red | Green | Blue
| z | | 19.17
| znorm | | 14.99
| sky | 14.5 | 14.4 | 14.6
| S/N | 16.3 | 25.5 | 27.1
| S/N(c) | 27.2 | 28.1 | 10.8
| SN(E/C) | 0.79
|
|
|
|
|
|
|
2850017
| 47
| | Red | Green | Blue
| z | | 19.17
| znorm | | 14.99
| sky | 14.5 | 14.6 | 14.6
| S/N | 16.2 | 25.5 | 27.1
| S/N(c) | 27.2 | 28.1 | 10.8
| SN(E/C) | 0.80
|
|
|
|
|
|
|
2850018
| 47
| | Red | Green | Blue
| z | | 19.20
| znorm | | 15.02
| sky | 14.6 | 14.6 | 14.6
| S/N | 16.4 | 26.0 | 27.9
| S/N(c) | 27.7 | 28.6 | 11.1
| SN(E/C) | 0.80
|
|
|
|
|
|
|
2850019
| 47
| | Red | Green | Blue
| z | | 19.20
| znorm | | 15.02
| sky | 14.8 | 14.6 | 14.5
| S/N | 16.3 | 25.8 | 27.6
| S/N(c) | 27.7 | 28.6 | 11.1
| SN(E/C) | 0.87
|
|
|
|
|
|
|