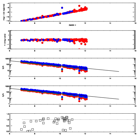
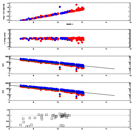
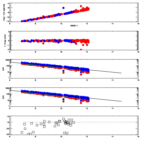
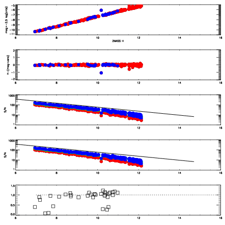
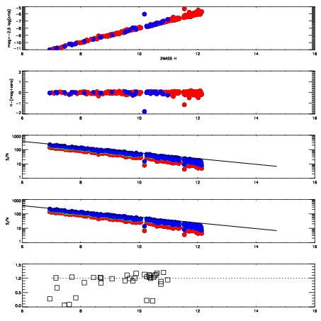
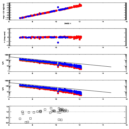
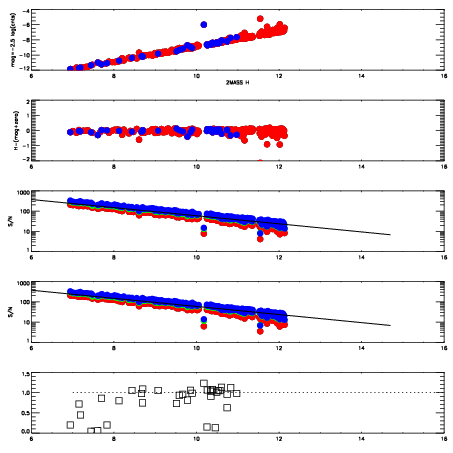
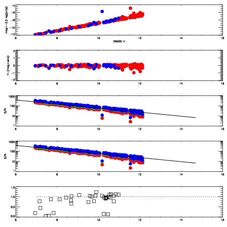
Frame | Nreads | Zeropoints | Mag plots
| Spatial mag deviation
| Spatial sky 16325A emission deviations (filled: sky, open: star)
| Spatial sky continuum emission
| Spatial sky telluric CO2 absorption deviations (filled: H < 10)
|
2900025
| 47
| | Red | Green | Blue
| z | | 17.26
| znorm | | 13.08
| sky | 15.4 | 14.9 | 15.5
| S/N | 4.0 | 7.8 | 8.0
| S/N(c) | 8.6 | 10.4 | 2.3
| SN(E/C) | 1.04
|
|
|
|
|
|
|
2900026
| 47
| | Red | Green | Blue
| z | | 17.36
| znorm | | 13.18
| sky | 15.1 | 14.8 | 15.5
| S/N | 4.3 | 8.8 | 8.7
| S/N(c) | 8.9 | 11.0 | 2.4
| SN(E/C) | 0.98
|
|
|
|
|
|
|
2900027
| 47
| | Red | Green | Blue
| z | | 17.99
| znorm | | 13.81
| sky | 15.0 | 14.9 | 15.2
| S/N | 7.1 | 13.2 | 13.2
| S/N(c) | 14.1 | 15.2 | 3.4
| SN(E/C) | 1.01
|
|
|
|
|
|
|
2900028
| 47
| | Red | Green | Blue
| z | | 18.87
| znorm | | 14.69
| sky | 14.7 | 14.6 | 14.8
| S/N | 12.9 | 22.0 | 22.4
| S/N(c) | 24.3 | 23.6 | 5.6
| SN(E/C) | 0.95
|
|
|
|
|
|
|
2900029
| 47
| | Red | Green | Blue
| z | | 19.03
| znorm | | 14.85
| sky | 14.5 | 14.5 | 14.8
| S/N | 14.0 | 23.7 | 24.0
| S/N(c) | 26.0 | 25.4 | 6.0
| SN(E/C) | 0.90
|
|
|
|
|
|
|
2900030
| 47
| | Red | Green | Blue
| z | | 18.90
| znorm | | 14.72
| sky | 14.8 | 14.7 | 14.9
| S/N | 12.9 | 22.2 | 23.3
| S/N(c) | 24.4 | 24.0 | 5.6
| SN(E/C) | 0.96
|
|
|
|
|
|
|
2900031
| 47
| | Red | Green | Blue
| z | | 18.86
| znorm | | 14.67
| sky | 14.6 | 14.7 | 14.8
| S/N | 12.6 | 21.6 | 23.0
| S/N(c) | 24.5 | 23.5 | 5.4
| SN(E/C) | 0.90
|
|
|
|
|
|
|
2900032
| 47
| | Red | Green | Blue
| z | | 18.90
| znorm | | 14.72
| sky | 14.5 | 14.7 | 15.0
| S/N | 12.9 | 22.3 | 23.4
| S/N(c) | 25.0 | 24.0 | 5.6
| SN(E/C) | 0.90
|
|
|
|
|
|
|