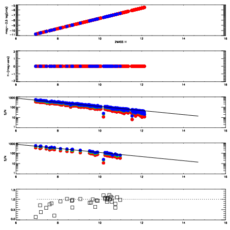
Left plots: red are targets, blue are telluric. Observed mags are calculated from median value of green chip. Zeropoint gives overall throughput: bigger number is more throughput.
First spatial plots: circles are objects, squares are tellurics, crosses are sky fibers. Colors give deviation of observed mag from expected 2MASS mag using the median zeropoint; red is brighter
Second spatial plots: circles are sky fibers. Colors give sky line brightness relative to plate median sky line brightness
FrameNreadsZeropointsMag plots Spatial mag deviation Spatial sky 16325A emission deviations (filled: sky, open: star) Spatial sky continuum emission Spatial sky telluric CO2 absorption deviations (filled: H < 10)
0 0
RedGreenBlue
z17.64
znorm Inf
sky -Inf -Inf -NaN
S/N 18.0 32.8 34.2
S/N(c) 0.0 0.0 0.0
SN(E/C) 0.93

IPAIRNAMESHIFTNEWSHIFTS/N NAMESHIFTNEWSHIFTS/N
0 02900027 0.402609 0.00000 17.9758 02900028 0.000206670 0.402402 18.8567
1 02900030 0.399099 0.00351000 18.8818 02900029 -0.000867778 0.403477 19.0116
2 02900031 0.400410 0.00219899 18.8423 02900032 0.000722590 0.401886 18.8807
3 02900026 0.401624 0.000984997 17.3504 02900025 0.00000 0.402609 17.2543