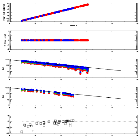
Left plots: red are targets, blue are telluric. Observed mags are calculated from median value of green chip. Zeropoint gives overall throughput: bigger number is more throughput.
First spatial plots: circles are objects, squares are tellurics, crosses are sky fibers. Colors give deviation of observed mag from expected 2MASS mag using the median zeropoint; red is brighter
Second spatial plots: circles are sky fibers. Colors give sky line brightness relative to plate median sky line brightness
FrameNreadsZeropointsMag plots Spatial mag deviation Spatial sky 16325A emission deviations (filled: sky, open: star) Spatial sky continuum emission Spatial sky telluric CO2 absorption deviations (filled: H < 10)
0 0
RedGreenBlue
z17.64
znorm Inf
sky -Inf -Inf -Inf
S/N 16.7 28.2 33.6
S/N(c) 0.0 0.0 0.0
SN(E/C) 0.85

IPAIRNAMESHIFTNEWSHIFTS/N NAMESHIFTNEWSHIFTS/N
0 03990026 0.499704 0.00000 17.5618 03990027 0.00257276 0.497131 17.3239
1 03990021 0.496338 0.00336599 18.9145 03990023 0.000829854 0.498874 18.8402
2 03990022 0.498333 0.00137100 18.7045 03990020 0.00000 0.499704 18.7177
3 03990025 0.497489 0.00221500 18.0715 03990024 0.000227756 0.499476 17.9704