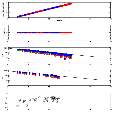
Left plots: red are targets, blue are telluric. Observed mags are calculated from median value of green chip. Zeropoint gives overall throughput: bigger number is more throughput.
First spatial plots: circles are objects, squares are tellurics, crosses are sky fibers. Colors give deviation of observed mag from expected 2MASS mag using the median zeropoint; red is brighter
Second spatial plots: circles are sky fibers. Colors give sky line brightness relative to plate median sky line brightness
FrameNreadsZeropointsMag plots Spatial mag deviation Spatial sky 16325A emission deviations (filled: sky, open: star) Spatial sky continuum emission Spatial sky telluric CO2 absorption deviations (filled: H < 10)
0 0
RedGreenBlue
z17.64
znorm Inf
sky -Inf -Inf -Inf
S/N 16.2 28.6 31.0
S/N(c) 0.0 0.0 0.0
SN(E/C) 0.88

IPAIRNAMESHIFTNEWSHIFTS/N NAMESHIFTNEWSHIFTS/N
0 04010014 0.493583 0.00000 18.3071 04010015 0.00230947 0.491274 18.1750
1 04010009 0.491265 0.00231799 18.7314 04010008 0.00000 0.493583 19.0496
2 04010013 0.493266 0.000317007 18.2544 04010012 0.000296668 0.493286 18.1513
3 04010010 0.493449 0.000133991 17.6695 04010011 0.000536875 0.493046 17.5428