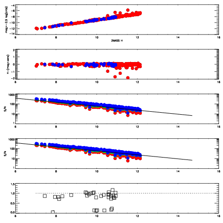
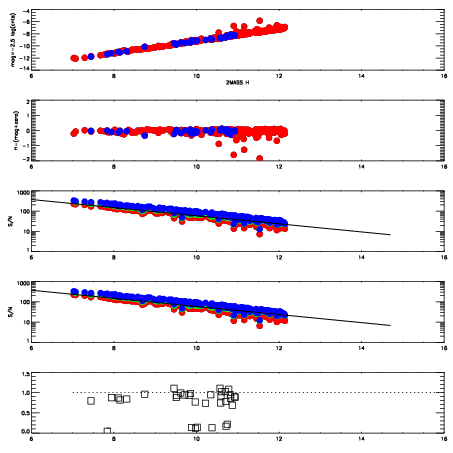
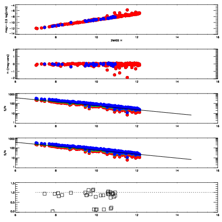
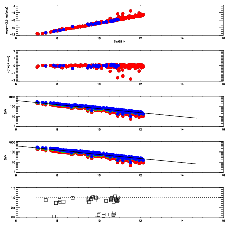
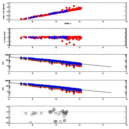
Frame | Nreads | Zeropoints | Mag plots
| Spatial mag deviation
| Spatial sky 16325A emission deviations (filled: sky, open: star)
| Spatial sky continuum emission
| Spatial sky telluric CO2 absorption deviations (filled: H < 10)
|
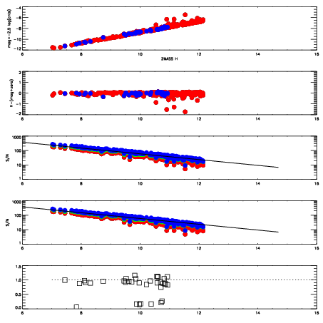
3210053
| 47
| | Red | Green | Blue
| z | | 18.81
| znorm | | 14.63
| sky | 14.4 | 14.4 | 14.5
| S/N | 12.6 | 21.1 | 22.4
| S/N(c) | 22.1 | 6.7 | 13.3
| SN(E/C) | 0.86
|
|
|
|
|
|
|
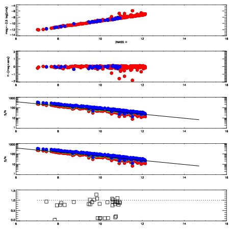
3210054
| 47
| | Red | Green | Blue
| z | | 18.96
| znorm | | 14.78
| sky | 14.6 | 14.4 | 14.4
| S/N | 13.8 | 22.6 | 24.2
| S/N(c) | 23.9 | 7.2 | 14.4
| SN(E/C) | 0.88
|
|
|
|
|
|
|
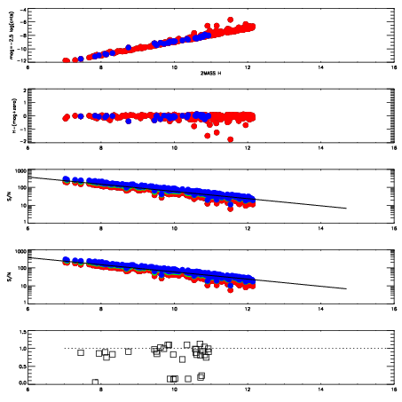
3210055
| 47
| | Red | Green | Blue
| z | | 18.60
| znorm | | 14.42
| sky | 14.3 | 14.1 | 14.1
| S/N | 10.4 | 18.1 | 19.2
| S/N(c) | 19.0 | 6.0 | 11.7
| SN(E/C) | 0.94
|
|
|
|
|
|
|
3210056
| 47
| | Red | Green | Blue
| z | | 18.75
| znorm | | 14.57
| sky | 14.2 | 14.1 | 14.2
| S/N | 11.8 | 19.9 | 21.5
| S/N(c) | 20.9 | 6.6 | 13.0
| SN(E/C) | 0.91
|
|
|
|
|
|
|
3210057
| 47
| | Red | Green | Blue
| z | | 19.23
| znorm | | 15.05
| sky | 14.6 | 14.6 | 14.5
| S/N | 16.6 | 26.6 | 28.8
| S/N(c) | 27.8 | 8.5 | 16.8
| SN(E/C) | 0.86
|
|
|
|
|
|
|
3210058
| 47
| | Red | Green | Blue
| z | | 19.23
| znorm | | 15.05
| sky | 14.6 | 14.6 | 14.6
| S/N | 16.5 | 26.7 | 28.7
| S/N(c) | 27.8 | 8.6 | 16.8
| SN(E/C) | 0.87
|
|
|
|
|
|
|
3210059
| 47
| | Red | Green | Blue
| z | | 19.13
| znorm | | 14.95
| sky | 14.6 | 14.5 | 14.5
| S/N | 15.2 | 25.0 | 26.9
| S/N(c) | 26.3 | 8.0 | 15.8
| SN(E/C) | 0.90
|
|
|
|
|
|
|
3210060
| 47
| | Red | Green | Blue
| z | | 18.62
| znorm | | 14.44
| sky | 14.1 | 14.1 | 14.2
| S/N | 10.8 | 18.8 | 20.1
| S/N(c) | 19.5 | 6.2 | 12.2
| SN(E/C) | 0.90
|
|
|
|
|
|
|
3210061
| 47
| | Red | Green | Blue
| z | | 18.81
| znorm | | 14.63
| sky | 14.2 | 14.2 | 14.2
| S/N | 12.5 | 21.2 | 23.0
| S/N(c) | 22.0 | 7.0 | 13.7
| SN(E/C) | 0.89
|
|
|
|
|
|
|
3210062
| 47
| | Red | Green | Blue
| z | | 19.16
| znorm | | 14.98
| sky | 14.8 | 14.5 | 14.5
| S/N | 16.3 | 26.1 | 27.8
| S/N(c) | 27.0 | 8.3 | 16.4
| SN(E/C) | 0.86
|
|
|
|
|
|
|