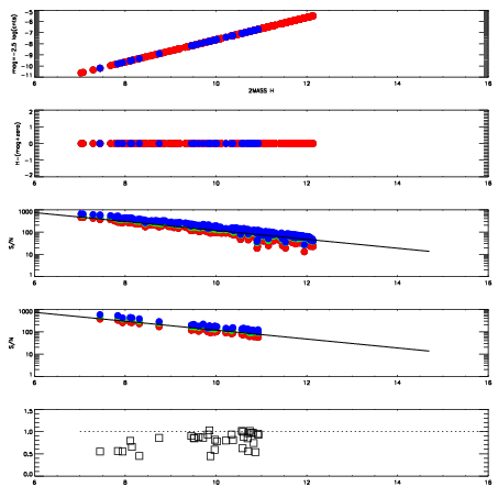
Left plots: red are targets, blue are telluric. Observed mags are calculated from median value of green chip. Zeropoint gives overall throughput: bigger number is more throughput.
First spatial plots: circles are objects, squares are tellurics, crosses are sky fibers. Colors give deviation of observed mag from expected 2MASS mag using the median zeropoint; red is brighter
Second spatial plots: circles are sky fibers. Colors give sky line brightness relative to plate median sky line brightness
FrameNreadsZeropointsMag plots Spatial mag deviation Spatial sky 16325A emission deviations (filled: sky, open: star) Spatial sky continuum emission Spatial sky telluric CO2 absorption deviations (filled: H < 10)
0 0
RedGreenBlue
z17.64
znorm Inf
sky -NaN -Inf -Inf
S/N 29.6 50.0 54.4
S/N(c) 0.0 0.0 0.0
SN(E/C) 0.85

IPAIRNAMESHIFTNEWSHIFTS/N NAMESHIFTNEWSHIFTS/N
0 03720062 0.506882 0.00000 19.2215 03720060 0.00000 0.506882 19.2184
1 03720065 0.501302 0.00558001 19.2352 03720067 0.00134563 0.505536 19.2368
2 03720061 0.505891 0.000990987 19.2230 03720064 0.000256396 0.506626 19.2268
3 03720066 0.505110 0.00177199 19.1935 03720063 0.00194210 0.504940 19.2149