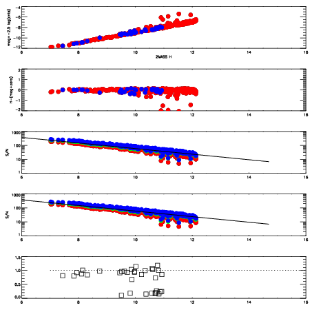
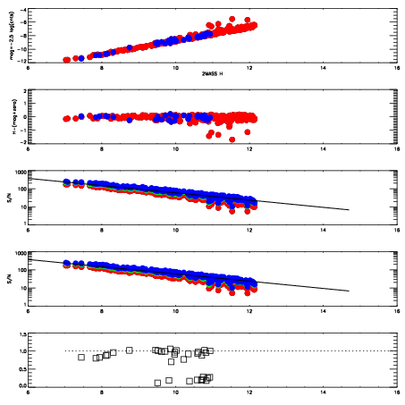
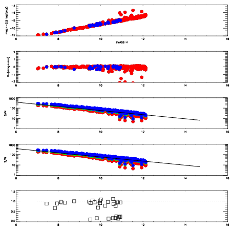
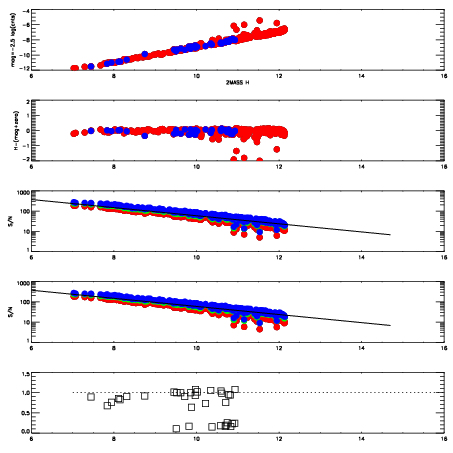
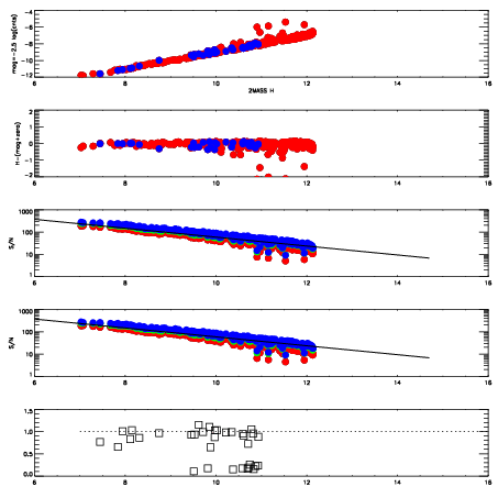
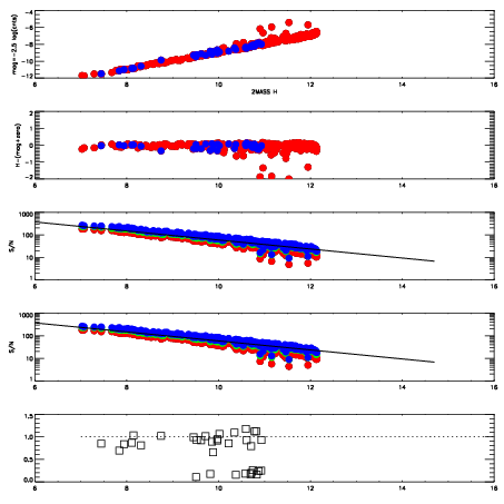
Frame | Nreads | Zeropoints | Mag plots
| Spatial mag deviation
| Spatial sky 16325A emission deviations (filled: sky, open: star)
| Spatial sky continuum emission
| Spatial sky telluric CO2 absorption deviations (filled: H < 10)
|
3980034
| 47
| | Red | Green | Blue
| z | | 18.77
| znorm | | 14.59
| sky | 14.6 | 14.1 | 14.2
| S/N | 13.0 | 21.3 | 21.9
| S/N(c) | 21.8 | 6.7 | 12.8
| SN(E/C) | 0.89
|
|
|
|
|
|
|
3980035
| 47
| | Red | Green | Blue
| z | | 18.91
| znorm | | 14.73
| sky | 14.7 | 14.2 | 14.4
| S/N | 14.3 | 22.7 | 23.7
| S/N(c) | 23.4 | 7.1 | 13.6
| SN(E/C) | 0.87
|
|
|
|
|
|
|
3980036
| 47
| | Red | Green | Blue
| z | | 18.98
| znorm | | 14.80
| sky | 14.4 | 14.3 | 14.4
| S/N | 14.7 | 23.7 | 24.1
| S/N(c) | 23.9 | 7.3 | 14.0
| SN(E/C) | 0.87
|
|
|
|
|
|
|
3980037
| 47
| | Red | Green | Blue
| z | | 19.01
| znorm | | 14.83
| sky | 14.5 | 14.3 | 14.3
| S/N | 15.1 | 24.5 | 24.5
| S/N(c) | 24.2 | 7.5 | 14.2
| SN(E/C) | 0.89
|
|
|
|
|
|
|
3980038
| 47
| | Red | Green | Blue
| z | | 19.04
| znorm | | 14.86
| sky | 14.8 | 14.3 | 14.3
| S/N | 15.3 | 24.8 | 25.2
| S/N(c) | 24.8 | 7.6 | 14.4
| SN(E/C) | 0.88
|
|
|
|
|
|
|
3980039
| 47
| | Red | Green | Blue
| z | | 18.98
| znorm | | 14.80
| sky | 14.6 | 14.3 | 14.4
| S/N | 14.6 | 23.8 | 24.3
| S/N(c) | 24.3 | 7.4 | 14.0
| SN(E/C) | 0.86
|
|
|
|
|
|
|
3980040
| 47
| | Red | Green | Blue
| z | | 18.95
| znorm | | 14.77
| sky | 14.5 | 14.5 | 14.4
| S/N | 14.1 | 22.9 | 23.8
| S/N(c) | 23.7 | 7.3 | 14.0
| SN(E/C) | 0.86
|
|
|
|
|
|
|
3980041
| 47
| | Red | Green | Blue
| z | | 18.97
| znorm | | 14.79
| sky | 14.6 | 14.4 | 14.4
| S/N | 14.5 | 23.7 | 24.5
| S/N(c) | 24.0 | 7.4 | 14.2
| SN(E/C) | 0.89
|
|
|
|
|
|
|