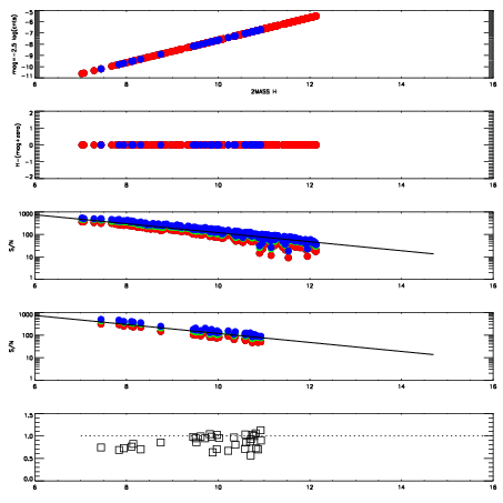
Left plots: red are targets, blue are telluric. Observed mags are calculated from median value of green chip. Zeropoint gives overall throughput: bigger number is more throughput.
First spatial plots: circles are objects, squares are tellurics, crosses are sky fibers. Colors give deviation of observed mag from expected 2MASS mag using the median zeropoint; red is brighter
Second spatial plots: circles are sky fibers. Colors give sky line brightness relative to plate median sky line brightness
FrameNreadsZeropointsMag plots Spatial mag deviation Spatial sky 16325A emission deviations (filled: sky, open: star) Spatial sky continuum emission Spatial sky telluric CO2 absorption deviations (filled: H < 10)
0 0
RedGreenBlue
z17.64
znorm Inf
sky -Inf -Inf -Inf
S/N 25.0 41.9 45.3
S/N(c) 0.0 0.0 0.0
SN(E/C) 0.87

IPAIRNAMESHIFTNEWSHIFTS/N NAMESHIFTNEWSHIFTS/N
0 03980036 0.496066 0.00000 18.9425 03980037 0.000310023 0.495756 18.9767
1 03980039 0.494303 0.00176302 18.9628 03980038 -0.000237842 0.496304 19.0113
2 03980040 0.495007 0.00105900 18.9231 03980041 0.00321790 0.492848 18.9462
3 03980035 0.495908 0.000158012 18.8834 03980034 0.00000 0.496066 18.7512