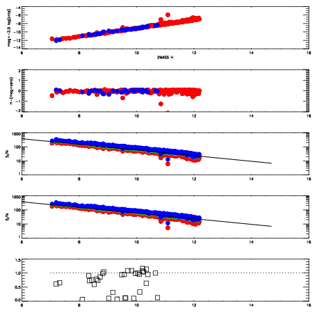
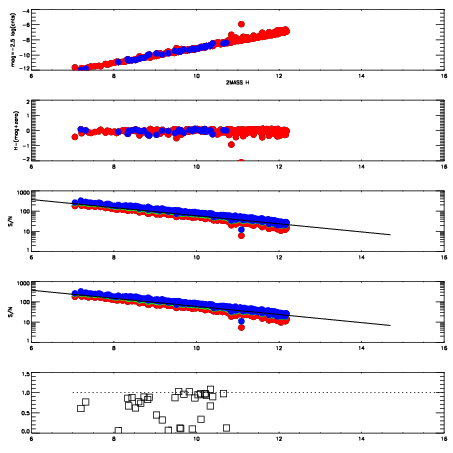
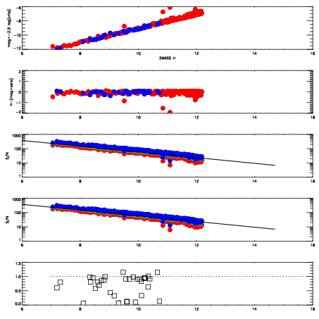
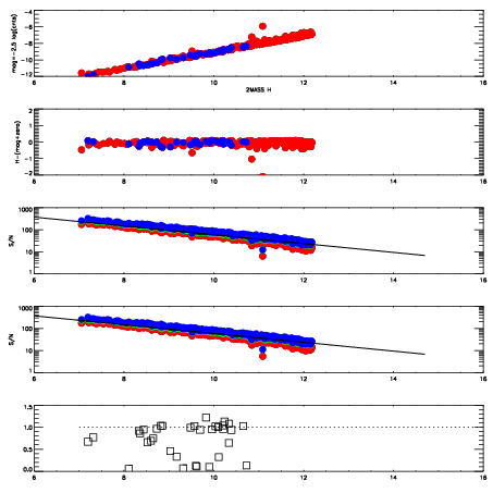
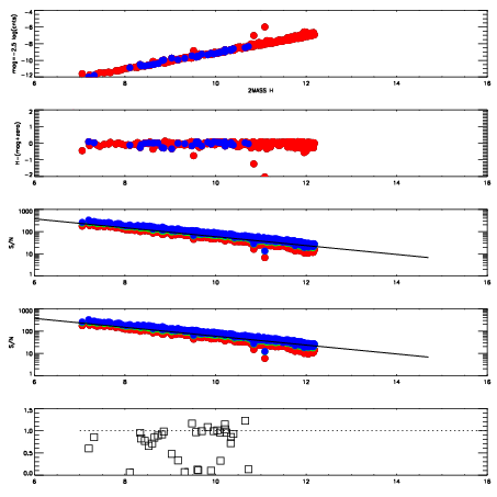
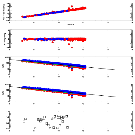
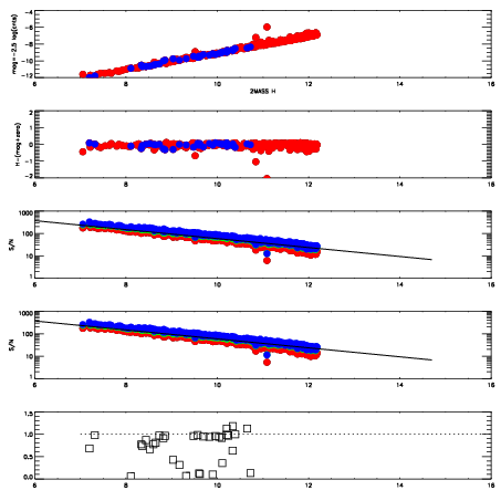
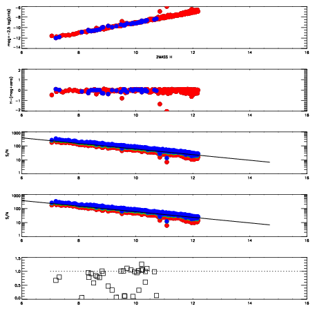
Frame | Nreads | Zeropoints | Mag plots
| Spatial mag deviation
| Spatial sky 16325A emission deviations (filled: sky, open: star)
| Spatial sky continuum emission
| Spatial sky telluric CO2 absorption deviations (filled: H < 10)
|
2870097
| 47
| | Red | Green | Blue
| z | | 19.05
| znorm | | 14.87
| sky | 14.8 | 14.6 | 14.6
| S/N | 14.5 | 23.7 | 24.1
| S/N(c) | 29.0 | 24.9 | 9.9
| SN(E/C) | 0.88
|
|
|
|
|
|
|
2870098
| 47
| | Red | Green | Blue
| z | | 19.11
| znorm | | 14.93
| sky | 14.8 | 14.6 | 14.9
| S/N | 14.9 | 24.3 | 25.6
| S/N(c) | 30.2 | 25.5 | 10.4
| SN(E/C) | 0.86
|
|
|
|
|
|
|
2870099
| 47
| | Red | Green | Blue
| z | | 19.12
| znorm | | 14.94
| sky | 14.5 | 14.6 | 14.8
| S/N | 15.1 | 23.9 | 25.8
| S/N(c) | 30.2 | 26.0 | 10.5
| SN(E/C) | 0.84
|
|
|
|
|
|
|
2870100
| 47
| | Red | Green | Blue
| z | | 19.09
| znorm | | 14.91
| sky | 15.0 | 14.9 | 14.9
| S/N | 15.0 | 23.7 | 25.8
| S/N(c) | 29.8 | 25.4 | 10.4
| SN(E/C) | 0.94
|
|
|
|
|
|
|
2870101
| 47
| | Red | Green | Blue
| z | | 19.10
| znorm | | 14.92
| sky | 14.8 | 14.8 | 14.9
| S/N | 14.8 | 23.5 | 25.9
| S/N(c) | 29.8 | 25.7 | 10.4
| SN(E/C) | 0.91
|
|
|
|
|
|
|
2870102
| 47
| | Red | Green | Blue
| z | | 19.12
| znorm | | 14.94
| sky | 14.9 | 14.8 | 14.8
| S/N | 15.5 | 24.1 | 26.8
| S/N(c) | 30.3 | 26.3 | 10.6
| SN(E/C) | 0.85
|
|
|
|
|
|
|
2870103
| 47
| | Red | Green | Blue
| z | | 19.15
| znorm | | 14.97
| sky | 14.8 | 14.7 | 14.9
| S/N | 15.8 | 24.4 | 27.6
| S/N(c) | 30.7 | 26.8 | 10.8
| SN(E/C) | 0.86
|
|
|
|
|
|
|
2870104
| 47
| | Red | Green | Blue
| z | | 19.10
| znorm | | 14.92
| sky | 14.6 | 14.8 | 14.8
| S/N | 15.0 | 23.8 | 26.5
| S/N(c) | 29.7 | 26.0 | 10.4
| SN(E/C) | 0.86
|
|
|
|
|
|
|
2870105
| 47
| | Red | Green | Blue
| z | | 19.10
| znorm | | 14.92
| sky | 14.7 | 14.8 | 14.8
| S/N | 15.4 | 23.7 | 26.6
| S/N(c) | 29.7 | 26.0 | 10.5
| SN(E/C) | 0.92
|
|
|
|
|
|
|
2870106
| 47
| | Red | Green | Blue
| z | | 19.10
| znorm | | 14.92
| sky | 14.9 | 14.8 | 14.9
| S/N | 15.1 | 24.0 | 26.7
| S/N(c) | 29.4 | 26.0 | 10.5
| SN(E/C) | 0.84
|
|
|
|
|
|
|
2870107
| 47
| | Red | Green | Blue
| z | | 19.10
| znorm | | 14.92
| sky | 14.7 | 14.6 | 14.7
| S/N | 15.0 | 23.6 | 26.8
| S/N(c) | 29.4 | 25.9 | 10.4
| SN(E/C) | 0.86
|
|
|
|
|
|
|
2870108
| 47
| | Red | Green | Blue
| z | | 19.09
| znorm | | 14.91
| sky | 15.0 | 14.8 | 14.7
| S/N | 15.3 | 23.9 | 26.8
| S/N(c) | 29.1 | 25.7 | 10.3
| SN(E/C) | 0.84
|
|
|
|
|
|
|