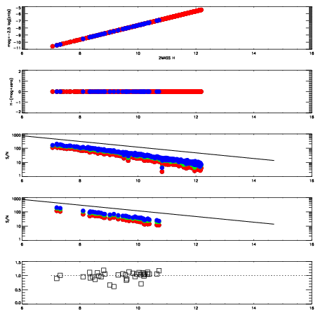
Left plots: red are targets, blue are telluric. Observed mags are calculated from median value of green chip. Zeropoint gives overall throughput: bigger number is more throughput.
First spatial plots: circles are objects, squares are tellurics, crosses are sky fibers. Colors give deviation of observed mag from expected 2MASS mag using the median zeropoint; red is brighter
Second spatial plots: circles are sky fibers. Colors give sky line brightness relative to plate median sky line brightness
FrameNreadsZeropointsMag plots Spatial mag deviation Spatial sky 16325A emission deviations (filled: sky, open: star) Spatial sky continuum emission Spatial sky telluric CO2 absorption deviations (filled: H < 10)
0 0
RedGreenBlue
z17.64
znorm Inf
sky -NaN -NaN -Inf
S/N 3.9 6.7 7.6
S/N(c) 0.0 0.0 0.0
SN(E/C) 1.03

IPAIRNAMESHIFTNEWSHIFTS/N NAMESHIFTNEWSHIFTS/N
0 03990037 0.501854 0.00000 16.5828 03990034 0.00339690 0.498457 15.8833
1 03990032 0.498894 0.00296000 17.4379 03990031 0.00000 0.501854 17.3734
2 03990033 0.499460 0.00239399 16.6597 03990035 0.00272522 0.499129 16.1010
3 03990036 0.501515 0.000339031 15.7608 03990038 0.00338826 0.498466 15.7732