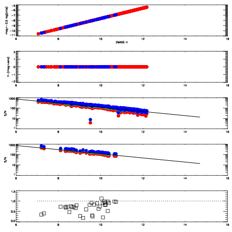
Left plots: red are targets, blue are telluric. Observed mags are calculated from median value of green chip. Zeropoint gives overall throughput: bigger number is more throughput.
First spatial plots: circles are objects, squares are tellurics, crosses are sky fibers. Colors give deviation of observed mag from expected 2MASS mag using the median zeropoint; red is brighter
Second spatial plots: circles are sky fibers. Colors give sky line brightness relative to plate median sky line brightness
FrameNreadsZeropointsMag plots Spatial mag deviation Spatial sky 16325A emission deviations (filled: sky, open: star) Spatial sky continuum emission Spatial sky telluric CO2 absorption deviations (filled: H < 10)
0 0
RedGreenBlue
z17.64
znorm Inf
sky -Inf -NaN -NaN
S/N 29.3 47.3 48.7
S/N(c) 0.0 0.0 0.0
SN(E/C) 0.72

IPAIRNAMESHIFTNEWSHIFTS/N NAMESHIFTNEWSHIFTS/N
0 10300029 0.492079 0.00000 19.1639 10300030 0.00253195 0.489547 19.1740
1 10300028 0.491871 0.000207990 19.1934 10300031 0.00344254 0.488636 19.1982
2 10300032 0.488778 0.00330099 19.1878 10300027 0.00000 0.492079 19.1786
3 10300033 0.490029 0.00204998 19.1593 10300034 0.00145680 0.490622 19.1457