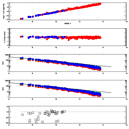
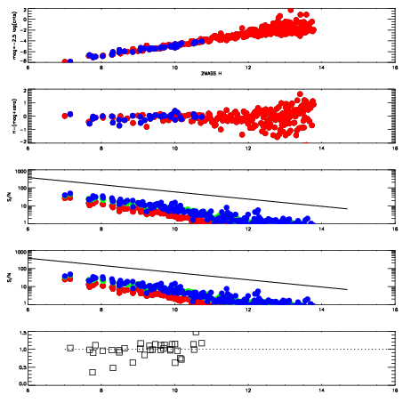
Left plots: red are targets, blue are telluric. Observed mags are calculated from median value of green chip. Zeropoint gives overall throughput: bigger number is more throughput.
First spatial plots: circles are objects, squares are tellurics, crosses are sky fibers. Colors give deviation of observed mag from expected 2MASS mag using the median zeropoint; red is brighter
Second spatial plots: circles are sky fibers. Colors give sky line brightness relative to plate median sky line brightness
FrameNreadsZeropointsMag plots Spatial mag deviation Spatial sky 16325A emission deviations (filled: sky, open: star) Spatial sky continuum emission Spatial sky telluric CO2 absorption deviations (filled: H < 10)
9960025 47
RedGreenBlue
z18.36
znorm14.18
sky 14.4 14.2 14.2
S/N 10.6 17.3 16.2
S/N(c) 10.8 18.2 10.8
SN(E/C) 0.86
9960026 47
RedGreenBlue
z17.65
znorm13.47
sky 14.4 14.3 14.5
S/N 6.3 10.9 10.3
S/N(c) 6.7 12.0 7.4
SN(E/C) 0.91
9960027 47
RedGreenBlue
z14.87
znorm10.69
sky 14.8 14.8 15.4
S/N 0.4 1.0 0.9
S/N(c) 0.7 1.8 1.2
SN(E/C) 0.99
9960028 47
RedGreenBlue
z13.52
znorm 9.34
sky 15.0 15.2 15.6
S/N -0.0 0.2 0.0
S/N(c) 0.0 0.0 0.0
SN(E/C) 2.13
9960029 47
RedGreenBlue
z13.26
znorm 9.08
sky 15.2 15.6 16.2
S/N -0.1 0.1 -0.0
S/N(c) 0.0 0.0 0.0
SN(E/C) 3.03
9960030 47
RedGreenBlue
z13.72
znorm 9.54
sky 15.3 15.4 16.7
S/N 0.1 0.2 -0.0
S/N(c) 0.0 0.0 0.0
SN(E/C) 3.90