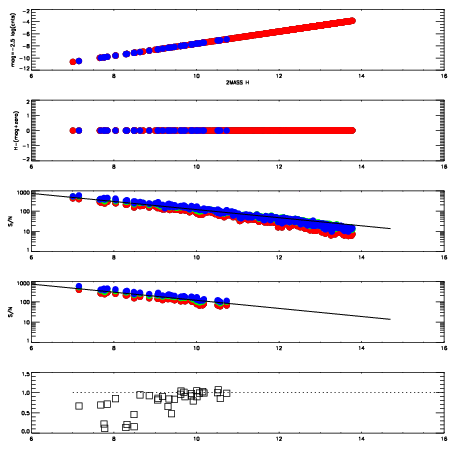
Left plots: red are targets, blue are telluric. Observed mags are calculated from median value of green chip. Zeropoint gives overall throughput: bigger number is more throughput.
First spatial plots: circles are objects, squares are tellurics, crosses are sky fibers. Colors give deviation of observed mag from expected 2MASS mag using the median zeropoint; red is brighter
Second spatial plots: circles are sky fibers. Colors give sky line brightness relative to plate median sky line brightness
FrameNreadsZeropointsMag plots Spatial mag deviation Spatial sky 16325A emission deviations (filled: sky, open: star) Spatial sky continuum emission Spatial sky telluric CO2 absorption deviations (filled: H < 10)
0 0
RedGreenBlue
z17.64
znorm Inf
sky -NaN -NaN -Inf
S/N 28.3 42.6 38.6
S/N(c) 0.0 0.0 0.0
SN(E/C) 0.86

IPAIRNAMESHIFTNEWSHIFTS/N NAMESHIFTNEWSHIFTS/N
0 10220013 0.488166 0.00000 18.8043 10220012 0.00000 0.488166 18.8747
1 10220018 0.486718 0.00144801 18.9539 10220019 -0.00202888 0.490195 19.0007
2 10220017 0.486320 0.00184602 18.9243 10220016 -0.00153709 0.489703 18.8855
3 10220014 0.488072 9.39965e-05 18.6949 10220015 -0.00120210 0.489368 18.7881