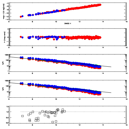
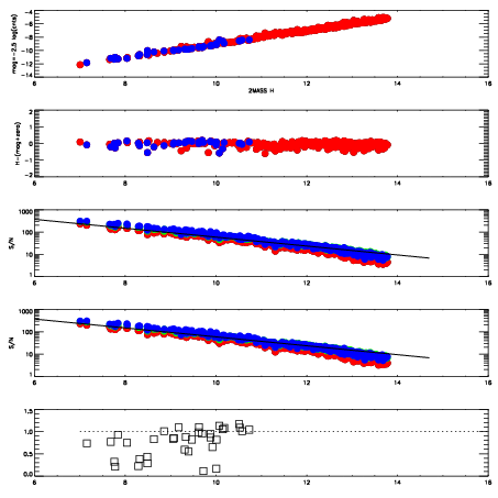
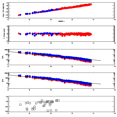
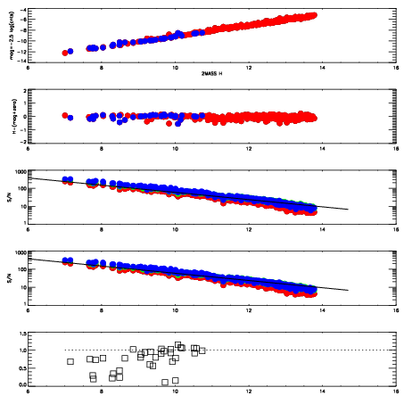
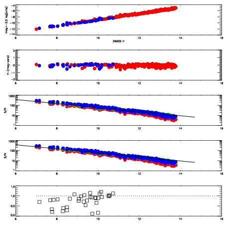
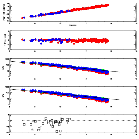
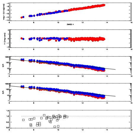
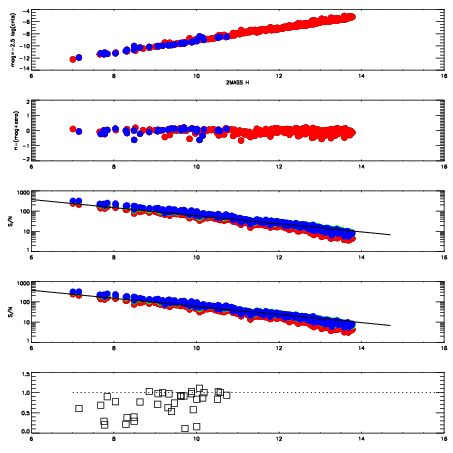
Frame | Nreads | Zeropoints | Mag plots
| Spatial mag deviation
| Spatial sky 16325A emission deviations (filled: sky, open: star)
| Spatial sky continuum emission
| Spatial sky telluric CO2 absorption deviations (filled: H < 10)
|
10230012
| 47
| | Red | Green | Blue
| z | | 19.08
| znorm | | 14.90
| sky | 14.2 | 13.9 | 13.7
| S/N | 17.6 | 26.3 | 25.1
| S/N(c) | 17.1 | 25.4 | 16.4
| SN(E/C) | 0.86
|
|
|
|
|
|
|
10230013
| 47
| | Red | Green | Blue
| z | | 19.12
| znorm | | 14.94
| sky | 14.3 | 14.1 | 14.0
| S/N | 17.6 | 26.3 | 25.5
| S/N(c) | 17.3 | 26.0 | 16.9
| SN(E/C) | 0.83
|
|
|
|
|
|
|
10230014
| 47
| | Red | Green | Blue
| z | | 19.06
| znorm | | 14.88
| sky | 14.4 | 14.1 | 14.1
| S/N | 16.8 | 25.5 | 24.1
| S/N(c) | 16.6 | 24.9 | 16.6
| SN(E/C) | 0.84
|
|
|
|
|
|
|
10230015
| 47
| | Red | Green | Blue
| z | | 19.00
| znorm | | 14.82
| sky | 14.2 | 14.2 | 14.1
| S/N | 16.0 | 24.5 | 23.3
| S/N(c) | 16.2 | 24.2 | 15.9
| SN(E/C) | 0.85
|
|
|
|
|
|
|
10230016
| 47
| | Red | Green | Blue
| z | | 19.04
| znorm | | 14.85
| sky | 14.4 | 14.1 | 14.1
| S/N | 16.2 | 24.9 | 23.4
| S/N(c) | 16.2 | 24.6 | 16.4
| SN(E/C) | 0.90
|
|
|
|
|
|
|
10230017
| 47
| | Red | Green | Blue
| z | | 19.12
| znorm | | 14.94
| sky | 14.3 | 14.1 | 14.0
| S/N | 17.3 | 25.6 | 24.7
| S/N(c) | 17.2 | 25.8 | 17.4
| SN(E/C) | 0.84
|
|
|
|
|
|
|
10230018
| 47
| | Red | Green | Blue
| z | | 19.16
| znorm | | 14.98
| sky | 14.3 | 14.1 | 14.0
| S/N | 17.3 | 26.1 | 24.9
| S/N(c) | 17.3 | 25.9 | 17.2
| SN(E/C) | 0.80
|
|
|
|
|
|
|
10230019
| 47
| | Red | Green | Blue
| z | | 19.14
| znorm | | 14.96
| sky | 14.4 | 14.2 | 14.1
| S/N | 17.1 | 25.8 | 24.3
| S/N(c) | 17.3 | 25.9 | 17.9
| SN(E/C) | 0.82
|
|
|
|
|
|
|