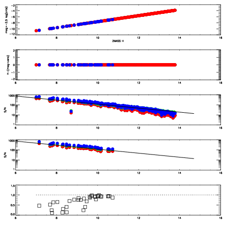
Left plots: red are targets, blue are telluric. Observed mags are calculated from median value of green chip. Zeropoint gives overall throughput: bigger number is more throughput.
First spatial plots: circles are objects, squares are tellurics, crosses are sky fibers. Colors give deviation of observed mag from expected 2MASS mag using the median zeropoint; red is brighter
Second spatial plots: circles are sky fibers. Colors give sky line brightness relative to plate median sky line brightness
FrameNreadsZeropointsMag plots Spatial mag deviation Spatial sky 16325A emission deviations (filled: sky, open: star) Spatial sky continuum emission Spatial sky telluric CO2 absorption deviations (filled: H < 10)
0 0
RedGreenBlue
z17.64
znorm Inf
sky -Inf -Inf -Inf
S/N 30.2 46.7 44.4
S/N(c) 0.0 0.0 0.0
SN(E/C) 0.78

IPAIRNAMESHIFTNEWSHIFTS/N NAMESHIFTNEWSHIFTS/N
0 10200012 0.496339 0.00000 19.0573 10200011 0.00000 0.496339 18.9917
1 10200017 0.495777 0.000561982 19.1372 10200018 -0.00160932 0.497948 19.1352
2 10200013 0.496104 0.000234991 19.0693 10200015 -0.000206228 0.496545 19.1301
3 10200016 0.495170 0.00116900 19.0601 10200014 0.000479797 0.495859 19.1132