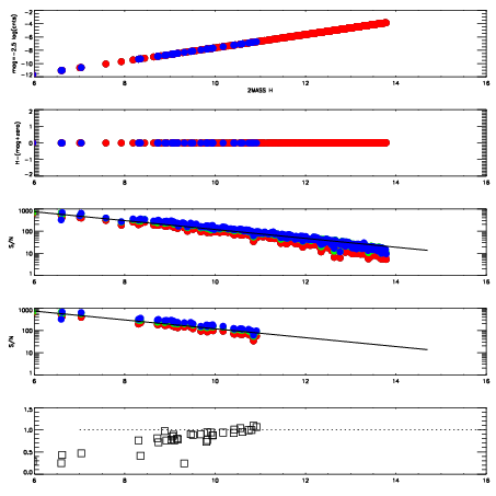
Left plots: red are targets, blue are telluric. Observed mags are calculated from median value of green chip. Zeropoint gives overall throughput: bigger number is more throughput.
First spatial plots: circles are objects, squares are tellurics, crosses are sky fibers. Colors give deviation of observed mag from expected 2MASS mag using the median zeropoint; red is brighter
Second spatial plots: circles are sky fibers. Colors give sky line brightness relative to plate median sky line brightness
FrameNreadsZeropointsMag plots Spatial mag deviation Spatial sky 16325A emission deviations (filled: sky, open: star) Spatial sky continuum emission Spatial sky telluric CO2 absorption deviations (filled: H < 10)
0 0
RedGreenBlue
z17.64
znorm Inf
sky -NaN -Inf -Inf
S/N 27.9 44.1 43.3
S/N(c) 0.0 0.0 0.0
SN(E/C) 0.87

IPAIRNAMESHIFTNEWSHIFTS/N NAMESHIFTNEWSHIFTS/N
0 09050053 0.484897 0.00000 19.0808 09050054 0.00367979 0.481217 19.0765
1 09050048 0.480482 0.00441498 19.0577 09050051 0.00284276 0.482054 19.0666
2 09050049 0.479991 0.00490600 19.0550 09050047 0.00000 0.484897 19.0442
3 09050052 0.484731 0.000165999 19.0247 09050050 0.00311707 0.481780 19.0435