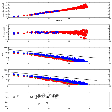
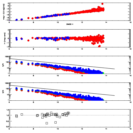
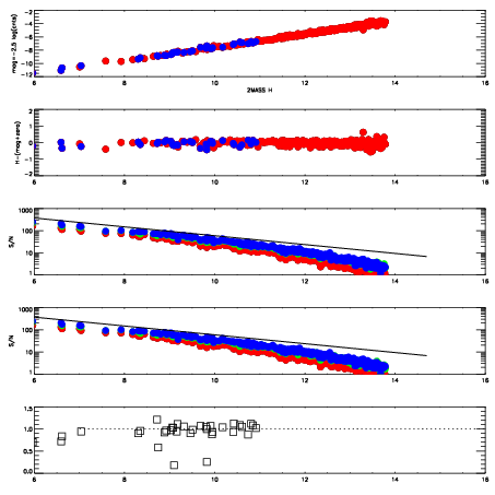
Left plots: red are targets, blue are telluric. Observed mags are calculated from median value of green chip. Zeropoint gives overall throughput: bigger number is more throughput.
First spatial plots: circles are objects, squares are tellurics, crosses are sky fibers. Colors give deviation of observed mag from expected 2MASS mag using the median zeropoint; red is brighter
Second spatial plots: circles are sky fibers. Colors give sky line brightness relative to plate median sky line brightness
FrameNreadsZeropointsMag plots Spatial mag deviation Spatial sky 16325A emission deviations (filled: sky, open: star) Spatial sky continuum emission Spatial sky telluric CO2 absorption deviations (filled: H < 10)
9090044 47
RedGreenBlue
z18.22
znorm14.04
sky 14.0 13.9 14.0
S/N 8.6 14.6 14.9
S/N(c) 9.5 22.9 24.7
SN(E/C) 0.97
9090045 47
RedGreenBlue
z17.61
znorm13.43
sky 13.8 13.8 14.0
S/N 5.1 9.3 9.5
S/N(c) 6.1 15.7 17.9
SN(E/C) 0.97
9090046 47
RedGreenBlue
z16.60
znorm12.42
sky 13.5 13.5 13.8
S/N 2.1 4.1 4.4
S/N(c) 2.8 7.9 9.8
SN(E/C) 1.05
9090047 47
RedGreenBlue
z16.35
znorm12.17
sky 13.6 13.6 13.9
S/N 1.6 3.2 3.4
S/N(c) 2.2 6.7 8.3
SN(E/C) 1.03