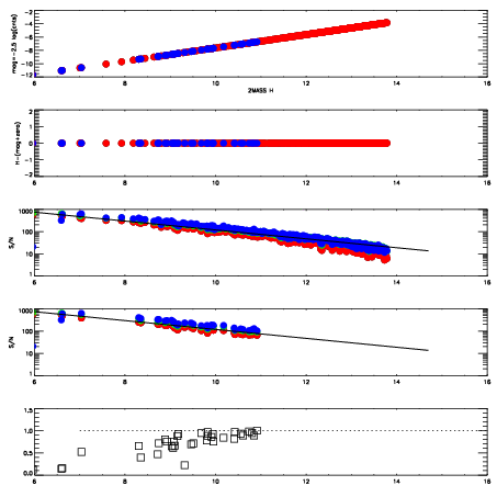
Left plots: red are targets, blue are telluric. Observed mags are calculated from median value of green chip. Zeropoint gives overall throughput: bigger number is more throughput.
First spatial plots: circles are objects, squares are tellurics, crosses are sky fibers. Colors give deviation of observed mag from expected 2MASS mag using the median zeropoint; red is brighter
Second spatial plots: circles are sky fibers. Colors give sky line brightness relative to plate median sky line brightness
FrameNreadsZeropointsMag plots Spatial mag deviation Spatial sky 16325A emission deviations (filled: sky, open: star) Spatial sky continuum emission Spatial sky telluric CO2 absorption deviations (filled: H < 10)
0 0
RedGreenBlue
z17.64
znorm Inf
sky -NaN -Inf -NaN
S/N 30.7 50.6 51.1
S/N(c) 0.0 0.0 0.0
SN(E/C) 0.78

IPAIRNAMESHIFTNEWSHIFTS/N NAMESHIFTNEWSHIFTS/N
0 09950016 0.524203 0.00000 19.1837 09950019 0.000898311 0.523305 19.1551
1 09950020 0.523533 0.000670016 19.2260 09950022 0.00275881 0.521444 19.2133
2 09950021 0.523850 0.000352979 19.2149 09950018 0.000982135 0.523221 19.2070
3 09950017 0.524172 3.09944e-05 19.1987 09950015 0.00000 0.524203 19.1674