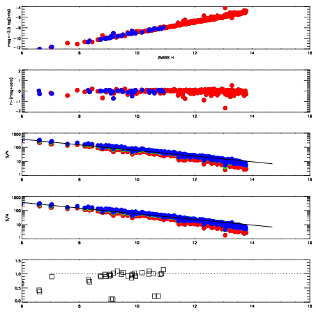
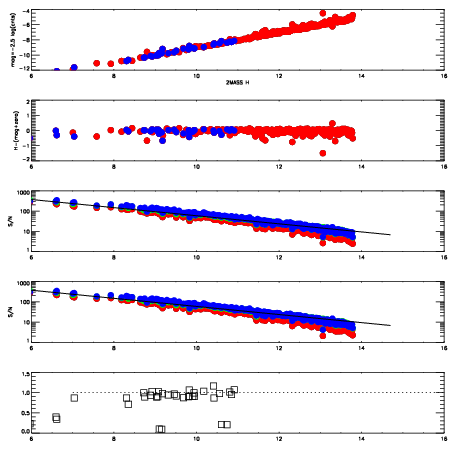
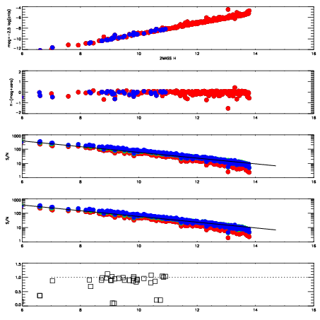
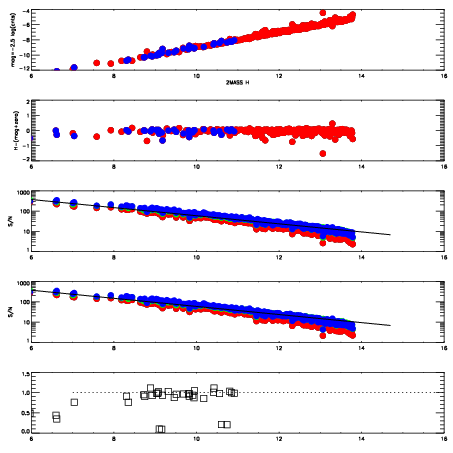
Left plots: red are targets, blue are telluric. Observed mags are calculated from median value of green chip. Zeropoint gives overall throughput: bigger number is more throughput.
First spatial plots: circles are objects, squares are tellurics, crosses are sky fibers. Colors give deviation of observed mag from expected 2MASS mag using the median zeropoint; red is brighter
Second spatial plots: circles are sky fibers. Colors give sky line brightness relative to plate median sky line brightness
FrameNreadsZeropointsMag plots Spatial mag deviation Spatial sky 16325A emission deviations (filled: sky, open: star) Spatial sky continuum emission Spatial sky telluric CO2 absorption deviations (filled: H < 10)
10110023 47
RedGreenBlue
z18.91
znorm14.73
sky 14.9 14.4 14.9
S/N 13.6 21.5 21.8
S/N(c) 23.1 22.9 14.0
SN(E/C) 0.93
10110024 47
RedGreenBlue
z19.03
znorm14.85
sky 15.0 14.6 14.9
S/N 14.2 22.9 23.4
S/N(c) 24.3 24.2 14.9
SN(E/C) 0.94
10110025 47
RedGreenBlue
z19.05
znorm14.87
sky 14.8 14.6 14.8
S/N 14.4 23.1 23.4
S/N(c) 24.6 24.6 15.1
SN(E/C) 0.91
10110026 47
RedGreenBlue
z19.09
znorm14.91
sky 15.0 14.6 14.9
S/N 14.9 23.9 24.1
S/N(c) 25.2 25.1 15.2
SN(E/C) 0.90