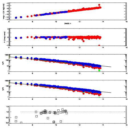
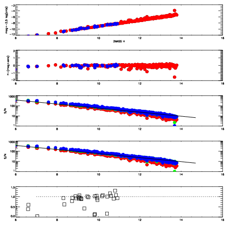
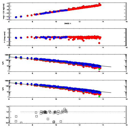
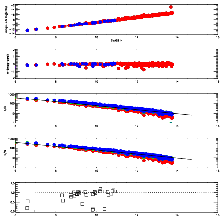
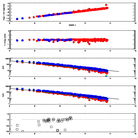
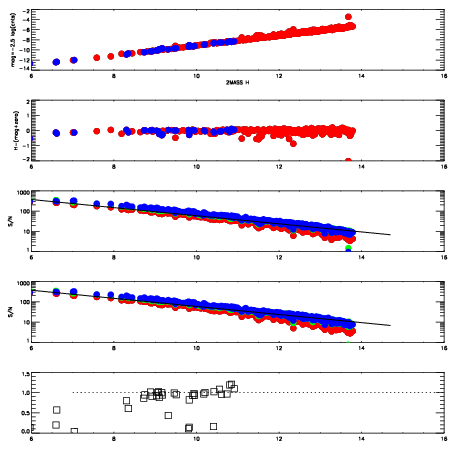
Frame | Nreads | Zeropoints | Mag plots
| Spatial mag deviation
| Spatial sky 16325A emission deviations (filled: sky, open: star)
| Spatial sky continuum emission
| Spatial sky telluric CO2 absorption deviations (filled: H < 10)
|
10150026
| 47
| | Red | Green | Blue
| z | | 19.11
| znorm | | 14.93
| sky | 15.0 | 14.4 | 14.4
| S/N | 16.4 | 25.5 | 25.9
| S/N(c) | 7.0 | 32.6 | 10.7
| SN(E/C) | 0.93
|
|
|
|
|
|
|
10150027
| 47
| | Red | Green | Blue
| z | | 19.12
| znorm | | 14.94
| sky | 14.8 | 14.4 | 14.7
| S/N | 16.2 | 25.6 | 25.9
| S/N(c) | 7.0 | 32.6 | 10.8
| SN(E/C) | 0.92
|
|
|
|
|
|
|
10150028
| 47
| | Red | Green | Blue
| z | | 19.16
| znorm | | 14.98
| sky | 14.7 | 14.4 | 14.7
| S/N | 16.9 | 26.3 | 26.8
| S/N(c) | 7.2 | 32.9 | 11.1
| SN(E/C) | 0.94
|
|
|
|
|
|
|
10150029
| 47
| | Red | Green | Blue
| z | | 19.16
| znorm | | 14.98
| sky | 15.0 | 14.7 | 14.6
| S/N | 16.9 | 26.5 | 26.8
| S/N(c) | 7.2 | 33.0 | 11.2
| SN(E/C) | 0.94
|
|
|
|
|
|
|
10150030
| 47
| | Red | Green | Blue
| z | | 19.18
| znorm | | 15.00
| sky | 14.8 | 14.6 | 14.7
| S/N | 17.1 | 26.6 | 27.1
| S/N(c) | 7.3 | 33.1 | 11.2
| SN(E/C) | 0.92
|
|
|
|
|
|
|
10150031
| 47
| | Red | Green | Blue
| z | | 19.19
| znorm | | 15.01
| sky | 14.7 | 14.7 | 14.7
| S/N | 17.3 | 27.3 | 27.4
| S/N(c) | 7.4 | 33.7 | 11.1
| SN(E/C) | 0.93
|
|
|
|
|
|
|
10150032
| 47
| | Red | Green | Blue
| z | | 19.14
| znorm | | 14.96
| sky | 14.6 | 14.7 | 14.8
| S/N | 16.5 | 25.9 | 26.7
| S/N(c) | 7.1 | 32.5 | 10.9
| SN(E/C) | 0.91
|
|
|
|
|
|
|
10150033
| 47
| | Red | Green | Blue
| z | | 19.15
| znorm | | 14.97
| sky | 14.7 | 14.7 | 14.8
| S/N | 16.9 | 26.5 | 27.2
| S/N(c) | 7.2 | 32.7 | 10.9
| SN(E/C) | 0.93
|
|
|
|
|
|
|