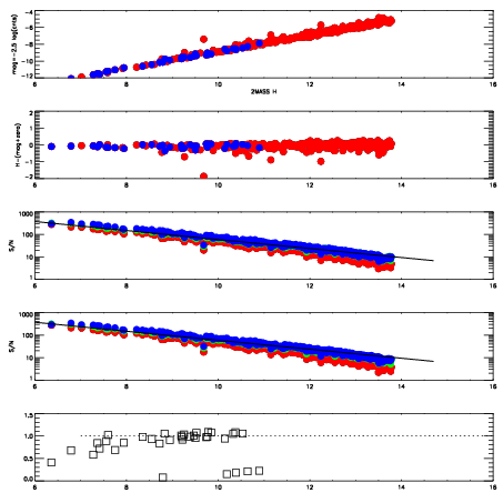
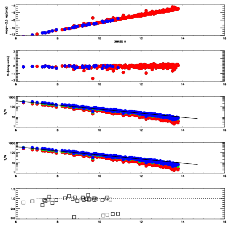
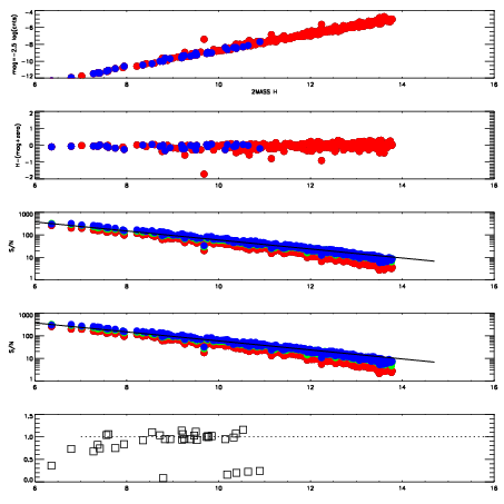
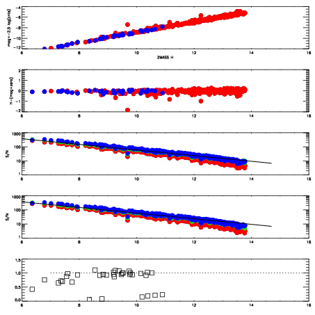
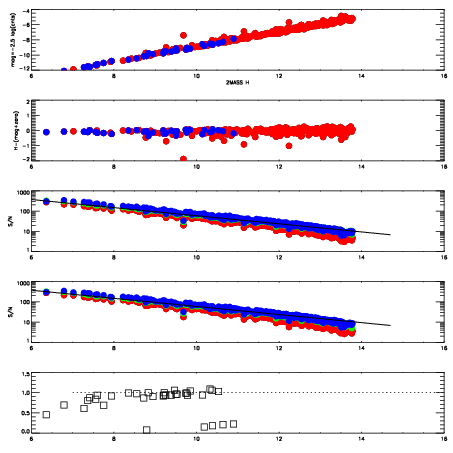
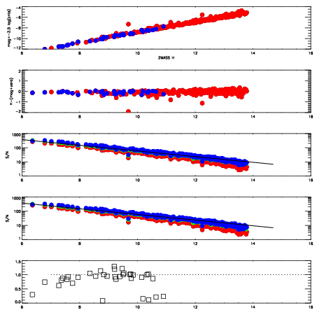
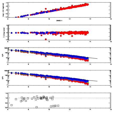
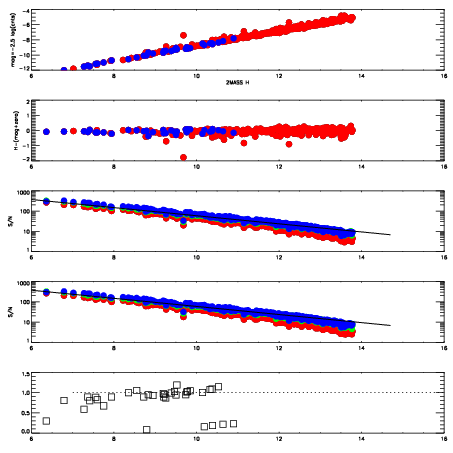
Frame | Nreads | Zeropoints | Mag plots
| Spatial mag deviation
| Spatial sky 16325A emission deviations (filled: sky, open: star)
| Spatial sky continuum emission
| Spatial sky telluric CO2 absorption deviations (filled: H < 10)
|
3090023
| 47
| | Red | Green | Blue
| z | | 18.89
| znorm | | 14.71
| sky | 15.1 | 14.8 | 14.7
| S/N | 14.3 | 22.8 | 24.1
| S/N(c) | 17.2 | 21.7 | 32.6
| SN(E/C) | 0.92
|
|
|
|
|
|
|
3090024
| 47
| | Red | Green | Blue
| z | | 18.72
| znorm | | 14.54
| sky | 15.1 | 14.8 | 15.1
| S/N | 13.4 | 21.3 | 22.7
| S/N(c) | 15.6 | 19.8 | 29.3
| SN(E/C) | 0.95
|
|
|
|
|
|
|
3090025
| 47
| | Red | Green | Blue
| z | | 18.79
| znorm | | 14.61
| sky | 14.9 | 15.0 | 15.0
| S/N | 14.0 | 22.1 | 24.0
| S/N(c) | 16.2 | 20.9 | 30.7
| SN(E/C) | 0.95
|
|
|
|
|
|
|
3090026
| 47
| | Red | Green | Blue
| z | | 18.92
| znorm | | 14.74
| sky | 15.2 | 14.9 | 14.9
| S/N | 15.5 | 23.5 | 25.6
| S/N(c) | 17.4 | 22.4 | 33.1
| SN(E/C) | 0.93
|
|
|
|
|
|
|
3090027
| 47
| | Red | Green | Blue
| z | | 18.96
| znorm | | 14.78
| sky | 15.1 | 14.9 | 15.1
| S/N | 15.7 | 23.9 | 26.4
| S/N(c) | 17.8 | 22.8 | 33.6
| SN(E/C) | 0.93
|
|
|
|
|
|
|
3090028
| 47
| | Red | Green | Blue
| z | | 18.95
| znorm | | 14.77
| sky | 15.0 | 15.0 | 15.0
| S/N | 15.5 | 23.9 | 26.5
| S/N(c) | 17.7 | 22.7 | 33.6
| SN(E/C) | 0.94
|
|
|
|
|
|
|
3090029
| 47
| | Red | Green | Blue
| z | | 18.85
| znorm | | 14.67
| sky | 15.0 | 14.9 | 15.1
| S/N | 14.7 | 22.7 | 25.1
| S/N(c) | 16.8 | 21.6 | 32.2
| SN(E/C) | 0.93
|
|
|
|
|
|
|
3090030
| 47
| | Red | Green | Blue
| z | | 18.86
| znorm | | 14.68
| sky | 15.3 | 14.8 | 14.9
| S/N | 14.9 | 22.9 | 25.3
| S/N(c) | 16.9 | 21.6 | 32.3
| SN(E/C) | 0.93
|
|
|
|
|
|
|