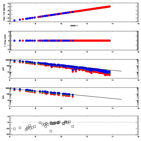
Left plots: red are targets, blue are telluric. Observed mags are calculated from median value of green chip. Zeropoint gives overall throughput: bigger number is more throughput.
First spatial plots: circles are objects, squares are tellurics, crosses are sky fibers. Colors give deviation of observed mag from expected 2MASS mag using the median zeropoint; red is brighter
Second spatial plots: circles are sky fibers. Colors give sky line brightness relative to plate median sky line brightness
FrameNreadsZeropointsMag plots Spatial mag deviation Spatial sky 16325A emission deviations (filled: sky, open: star) Spatial sky continuum emission Spatial sky telluric CO2 absorption deviations (filled: H < 10)
0 0
RedGreenBlue
z17.64
znorm Inf
sky -Inf -Inf -Inf
S/N 18.3 31.9 34.0
S/N(c) 0.0 0.0 0.0
SN(E/C) 0.88

IPAIRNAMESHIFTNEWSHIFTS/N NAMESHIFTNEWSHIFTS/N
0 09100050 0.478843 0.00000 18.8276 09100051 -0.000871557 0.479715 18.9742
1 09100045 0.476347 0.00249600 18.6879 09100044 0.00000 0.478843 18.6730
2 09100049 0.477495 0.00134799 18.3460 09100047 0.00242190 0.476421 18.1285
3 09100046 0.476735 0.00210801 17.8359 09100048 0.00200748 0.476836 18.0564