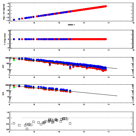
Left plots: red are targets, blue are telluric. Observed mags are calculated from median value of green chip. Zeropoint gives overall throughput: bigger number is more throughput.
First spatial plots: circles are objects, squares are tellurics, crosses are sky fibers. Colors give deviation of observed mag from expected 2MASS mag using the median zeropoint; red is brighter
Second spatial plots: circles are sky fibers. Colors give sky line brightness relative to plate median sky line brightness
FrameNreadsZeropointsMag plots Spatial mag deviation Spatial sky 16325A emission deviations (filled: sky, open: star) Spatial sky continuum emission Spatial sky telluric CO2 absorption deviations (filled: H < 10)
0 0
RedGreenBlue
z17.64
znorm Inf
sky -Inf -Inf -Inf
S/N 33.1 55.3 58.1
S/N(c) 0.0 0.0 0.0
SN(E/C) 0.69

IPAIRNAMESHIFTNEWSHIFTS/N NAMESHIFTNEWSHIFTS/N
0 09950039 0.524573 0.00000 19.2410 09950040 0.00364059 0.520932 19.2371
1 09950038 0.524246 0.000327051 19.2454 09950037 0.00000 0.524573 19.2388
2 09950042 0.523268 0.00130504 19.2309 09950041 0.00383179 0.520741 19.2323
3 09950043 0.522968 0.00160503 19.2252 09950044 0.00163028 0.522943 19.2227