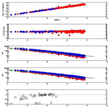
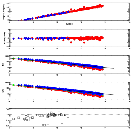
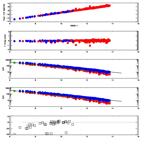
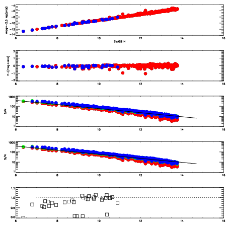
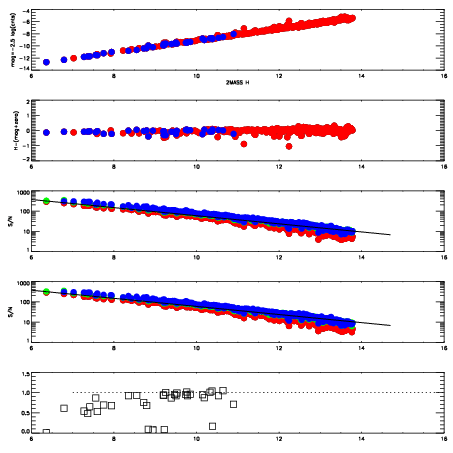
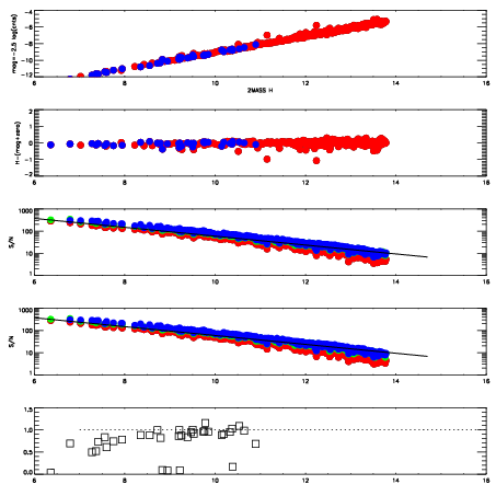
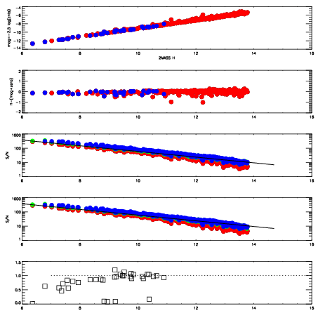
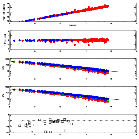
Frame | Nreads | Zeropoints | Mag plots
| Spatial mag deviation
| Spatial sky 16325A emission deviations (filled: sky, open: star)
| Spatial sky continuum emission
| Spatial sky telluric CO2 absorption deviations (filled: H < 10)
|
3050024
| 47
| | Red | Green | Blue
| z | | 19.17
| znorm | | 14.99
| sky | 14.9 | 14.6 | 14.4
| S/N | 17.2 | 27.4 | 28.4
| S/N(c) | 34.0 | 19.1 | 37.0
| SN(E/C) | 0.87
|
|
|
|
|
|
|
3050025
| 47
| | Red | Green | Blue
| z | | 19.16
| znorm | | 14.98
| sky | 14.7 | 14.7 | 14.8
| S/N | 17.3 | 27.3 | 28.4
| S/N(c) | 33.9 | 19.3 | 37.3
| SN(E/C) | 0.89
|
|
|
|
|
|
|
3050026
| 47
| | Red | Green | Blue
| z | | 19.15
| znorm | | 14.97
| sky | 14.6 | 14.6 | 14.7
| S/N | 16.8 | 27.4 | 28.5
| S/N(c) | 33.9 | 19.2 | 38.0
| SN(E/C) | 0.86
|
|
|
|
|
|
|
3050027
| 47
| | Red | Green | Blue
| z | | 19.14
| znorm | | 14.96
| sky | 14.9 | 14.6 | 14.8
| S/N | 17.0 | 27.2 | 28.3
| S/N(c) | 33.6 | 19.2 | 38.2
| SN(E/C) | 0.87
|
|
|
|
|
|
|
3050028
| 47
| | Red | Green | Blue
| z | | 19.15
| znorm | | 14.97
| sky | 14.9 | 14.8 | 14.8
| S/N | 17.1 | 27.5 | 28.6
| S/N(c) | 33.7 | 19.3 | 38.4
| SN(E/C) | 0.89
|
|
|
|
|
|
|
3050029
| 47
| | Red | Green | Blue
| z | | 19.11
| znorm | | 14.93
| sky | 14.8 | 14.8 | 14.8
| S/N | 16.6 | 26.7 | 27.9
| S/N(c) | 33.4 | 19.1 | 37.7
| SN(E/C) | 0.87
|
|
|
|
|
|
|
3050030
| 47
| | Red | Green | Blue
| z | | 19.14
| znorm | | 14.96
| sky | 14.7 | 14.7 | 14.8
| S/N | 17.0 | 27.4 | 28.5
| S/N(c) | 33.9 | 19.3 | 38.3
| SN(E/C) | 0.86
|
|
|
|
|
|
|
3050031
| 47
| | Red | Green | Blue
| z | | 19.14
| znorm | | 14.96
| sky | 14.8 | 14.7 | 14.9
| S/N | 17.0 | 27.1 | 28.2
| S/N(c) | 33.5 | 19.3 | 38.1
| SN(E/C) | 0.91
|
|
|
|
|
|
|