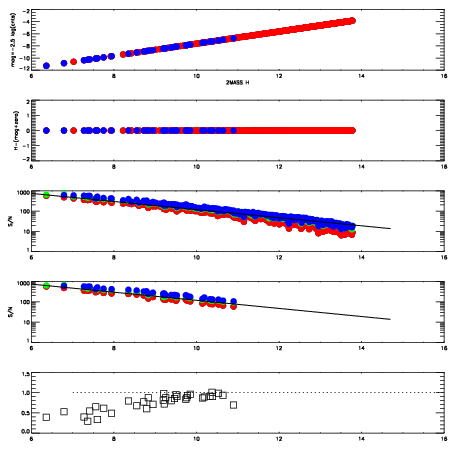
Left plots: red are targets, blue are telluric. Observed mags are calculated from median value of green chip. Zeropoint gives overall throughput: bigger number is more throughput.
First spatial plots: circles are objects, squares are tellurics, crosses are sky fibers. Colors give deviation of observed mag from expected 2MASS mag using the median zeropoint; red is brighter
Second spatial plots: circles are sky fibers. Colors give sky line brightness relative to plate median sky line brightness
FrameNreadsZeropointsMag plots Spatial mag deviation Spatial sky 16325A emission deviations (filled: sky, open: star) Spatial sky continuum emission Spatial sky telluric CO2 absorption deviations (filled: H < 10)
0 0
RedGreenBlue
z17.64
znorm Inf
sky -Inf -NaN -Inf
S/N 30.8 51.7 53.1
S/N(c) 0.0 0.0 0.0
SN(E/C) 0.81

IPAIRNAMESHIFTNEWSHIFTS/N NAMESHIFTNEWSHIFTS/N
0 03050025 0.501536 0.00000 19.1402 03050024 0.00000 0.501536 19.1566
1 03050026 0.501416 0.000119984 19.1387 03050028 -0.000336568 0.501873 19.1357
2 03050030 0.498861 0.00267500 19.1348 03050027 0.00127610 0.500260 19.1318
3 03050029 0.498128 0.00340801 19.1008 03050031 0.000300354 0.501236 19.1238