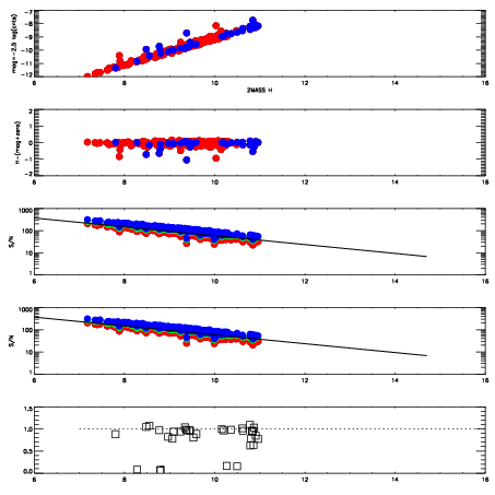
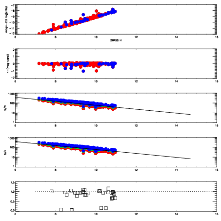
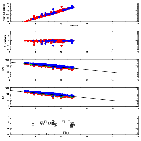
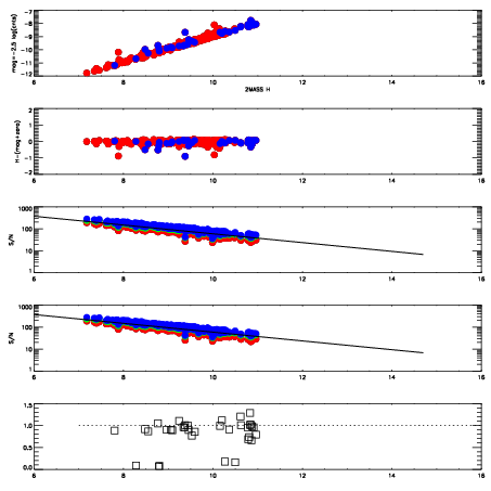
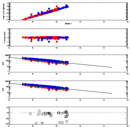
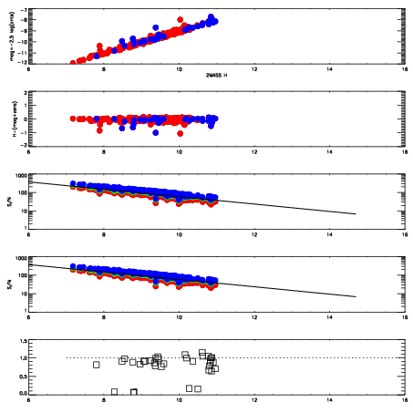
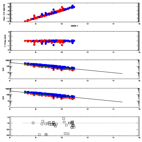
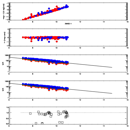
Frame | Nreads | Zeropoints | Mag plots
| Spatial mag deviation
| Spatial sky 16325A emission deviations (filled: sky, open: star)
| Spatial sky continuum emission
| Spatial sky telluric CO2 absorption deviations (filled: H < 10)
|
3140008
| 47
| | Red | Green | Blue
| z | | 18.96
| znorm | | 14.78
| sky | 14.5 | 14.1 | 13.8
| S/N | 18.2 | 27.4 | 30.5
| S/N(c) | 24.9 | 9.1 | 24.0
| SN(E/C) | 0.91
|
|
|
|
|
|
|
3140009
| 47
| | Red | Green | Blue
| z | | 18.99
| znorm | | 14.81
| sky | 14.4 | 14.1 | 14.2
| S/N | 18.3 | 27.7 | 31.0
| S/N(c) | 25.1 | 9.2 | 24.3
| SN(E/C) | 0.92
|
|
|
|
|
|
|
3140010
| 47
| | Red | Green | Blue
| z | | 19.05
| znorm | | 14.87
| sky | 14.4 | 14.3 | 14.1
| S/N | 18.9 | 28.6 | 32.0
| S/N(c) | 25.9 | 9.5 | 25.0
| SN(E/C) | 0.89
|
|
|
|
|
|
|
3140011
| 47
| | Red | Green | Blue
| z | | 19.08
| znorm | | 14.90
| sky | 14.5 | 14.3 | 14.3
| S/N | 19.2 | 29.0 | 32.6
| S/N(c) | 26.4 | 9.7 | 25.7
| SN(E/C) | 0.94
|
|
|
|
|
|
|
3140012
| 47
| | Red | Green | Blue
| z | | 19.06
| znorm | | 14.88
| sky | 14.5 | 14.3 | 14.3
| S/N | 18.9 | 28.5 | 32.1
| S/N(c) | 25.8 | 9.5 | 25.3
| SN(E/C) | 0.91
|
|
|
|
|
|
|
3140013
| 47
| | Red | Green | Blue
| z | | 19.10
| znorm | | 14.92
| sky | 14.5 | 14.3 | 14.2
| S/N | 19.3 | 29.0 | 32.6
| S/N(c) | 26.2 | 9.6 | 25.6
| SN(E/C) | 0.91
|
|
|
|
|
|
|
3140014
| 47
| | Red | Green | Blue
| z | | 19.13
| znorm | | 14.95
| sky | 14.5 | 14.3 | 14.2
| S/N | 19.6 | 29.5 | 33.0
| S/N(c) | 26.6 | 9.7 | 26.2
| SN(E/C) | 0.94
|
|
|
|
|
|
|
3140015
| 47
| | Red | Green | Blue
| z | | 19.08
| znorm | | 14.90
| sky | 14.3 | 14.3 | 14.2
| S/N | 19.1 | 28.8 | 32.2
| S/N(c) | 25.7 | 9.5 | 25.3
| SN(E/C) | 0.88
|
|
|
|
|
|
|