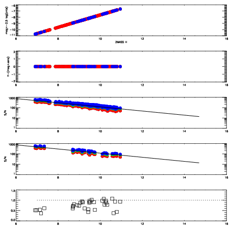
Left plots: red are targets, blue are telluric. Observed mags are calculated from median value of green chip. Zeropoint gives overall throughput: bigger number is more throughput.
First spatial plots: circles are objects, squares are tellurics, crosses are sky fibers. Colors give deviation of observed mag from expected 2MASS mag using the median zeropoint; red is brighter
Second spatial plots: circles are sky fibers. Colors give sky line brightness relative to plate median sky line brightness
FrameNreadsZeropointsMag plots Spatial mag deviation Spatial sky 16325A emission deviations (filled: sky, open: star) Spatial sky continuum emission Spatial sky telluric CO2 absorption deviations (filled: H < 10)
0 0
RedGreenBlue
z17.64
znorm Inf
sky -Inf -Inf -Inf
S/N 32.5 46.0 53.0
S/N(c) 0.0 0.0 0.0
SN(E/C) 0.78

IPAIRNAMESHIFTNEWSHIFTS/N NAMESHIFTNEWSHIFTS/N
0 02820030 0.406067 0.00000 18.8560 02820031 0.00189891 0.404168 18.9169
1 02820025 0.400603 0.00546402 19.1064 02820024 0.00000 0.406067 19.0499
2 02820026 0.403565 0.00250202 19.0741 02820027 0.00152721 0.404540 18.9908
3 02820029 0.403788 0.00227901 18.9404 02820028 -0.000256414 0.406323 18.9530