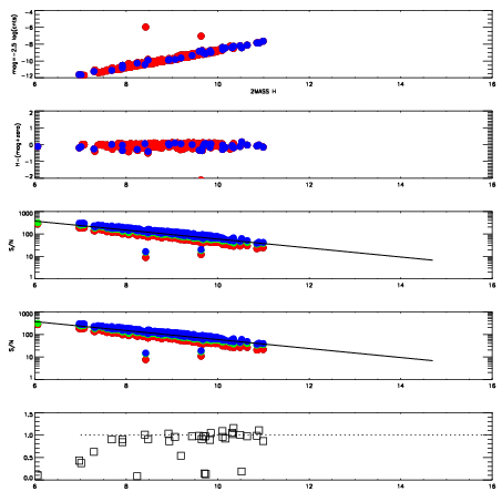
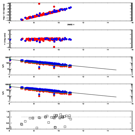
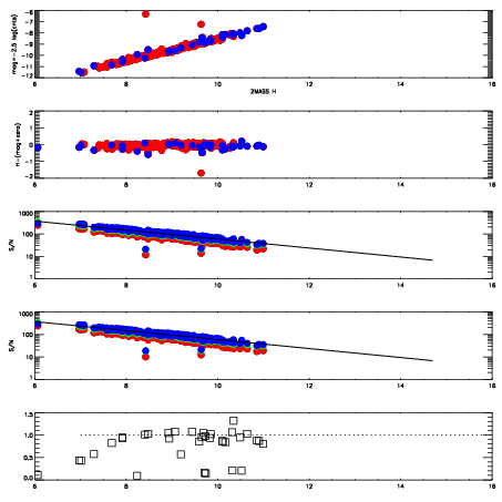
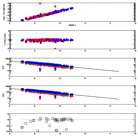
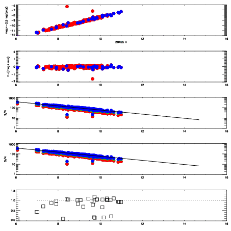
Frame | Nreads | Zeropoints | Mag plots
| Spatial mag deviation
| Spatial sky 16325A emission deviations (filled: sky, open: star)
| Spatial sky continuum emission
| Spatial sky telluric CO2 absorption deviations (filled: H < 10)
|
2790010
| 47
| | Red | Green | Blue
| z | | 18.43
| znorm | | 14.25
| sky | 14.1 | 14.0 | 13.9
| S/N | 11.9 | 18.8 | 20.5
| S/N(c) | 11.7 | 8.2 | 13.7
| SN(E/C) | 0.93
|
|
|
|
|
|
|
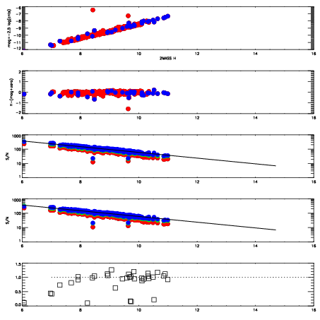
2790011
| 47
| | Red | Green | Blue
| z | | 18.55
| znorm | | 14.37
| sky | 14.3 | 14.1 | 14.2
| S/N | 12.5 | 19.8 | 21.8
| S/N(c) | 12.2 | 8.8 | 14.5
| SN(E/C) | 0.88
|
|
|
|
|
|
|
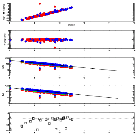
2790012
| 47
| | Red | Green | Blue
| z | | 18.47
| znorm | | 14.29
| sky | 14.2 | 14.1 | 14.1
| S/N | 11.5 | 18.6 | 20.4
| S/N(c) | 11.5 | 8.4 | 13.8
| SN(E/C) | 0.98
|
|
|
|
|
|
|
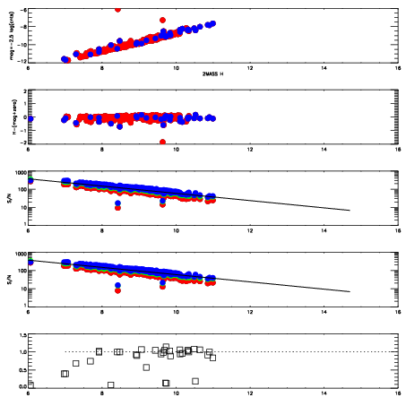
2790013
| 47
| | Red | Green | Blue
| z | | 18.64
| znorm | | 14.46
| sky | 14.2 | 14.0 | 14.0
| S/N | 12.8 | 20.1 | 22.1
| S/N(c) | 12.8 | 9.1 | 15.1
| SN(E/C) | 0.97
|
|
|
|
|
|
|
2790014
| 47
| | Red | Green | Blue
| z | | 18.68
| znorm | | 14.50
| sky | 14.3 | 14.2 | 14.0
| S/N | 12.8 | 20.2 | 22.4
| S/N(c) | 13.0 | 9.4 | 15.5
| SN(E/C) | 0.95
|
|
|
|
|
|
|
2790015
| 47
| | Red | Green | Blue
| z | | 18.77
| znorm | | 14.59
| sky | 14.1 | 13.9 | 13.9
| S/N | 14.0 | 21.8 | 24.2
| S/N(c) | 13.5 | 9.6 | 16.1
| SN(E/C) | 0.96
|
|
|
|
|
|
|
2790016
| 47
| | Red | Green | Blue
| z | | 18.77
| znorm | | 14.59
| sky | 14.0 | 14.0 | 14.0
| S/N | 14.2 | 22.5 | 24.9
| S/N(c) | 13.3 | 9.6 | 16.1
| SN(E/C) | 0.96
|
|
|
|
|
|
|
2790017
| 47
| | Red | Green | Blue
| z | | 18.79
| znorm | | 14.61
| sky | 14.0 | 14.0 | 14.0
| S/N | 13.9 | 21.7 | 24.1
| S/N(c) | 13.5 | 9.8 | 16.4
| SN(E/C) | 0.92
|
|
|
|
|
|
|