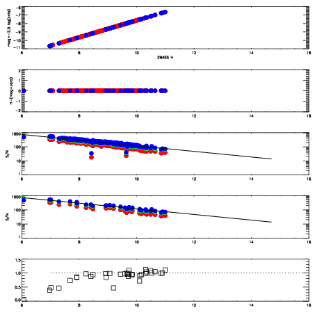
Left plots: red are targets, blue are telluric. Observed mags are calculated from median value of green chip. Zeropoint gives overall throughput: bigger number is more throughput.
First spatial plots: circles are objects, squares are tellurics, crosses are sky fibers. Colors give deviation of observed mag from expected 2MASS mag using the median zeropoint; red is brighter
Second spatial plots: circles are sky fibers. Colors give sky line brightness relative to plate median sky line brightness
FrameNreadsZeropointsMag plots Spatial mag deviation Spatial sky 16325A emission deviations (filled: sky, open: star) Spatial sky continuum emission Spatial sky telluric CO2 absorption deviations (filled: H < 10)
0 0
RedGreenBlue
z17.64
znorm Inf
sky -Inf -Inf -Inf
S/N 22.3 36.9 40.9
S/N(c) 0.0 0.0 0.0
SN(E/C) 0.95

IPAIRNAMESHIFTNEWSHIFTS/N NAMESHIFTNEWSHIFTS/N
0 02790012 0.418058 0.00000 18.4520 02790010 0.00000 0.418058 18.4270
1 02790015 0.415939 0.00211900 18.7579 02790017 -8.80312e-05 0.418146 18.7773
2 02790016 0.415147 0.00291100 18.7554 02790014 -0.00187280 0.419931 18.6672
3 02790011 0.417089 0.000969023 18.5447 02790013 0.00361818 0.414440 18.6233