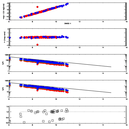
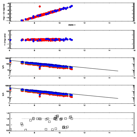
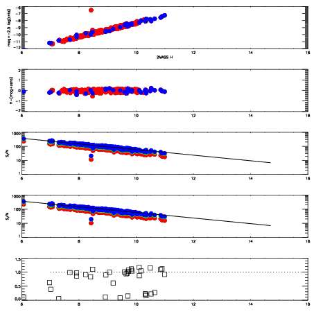
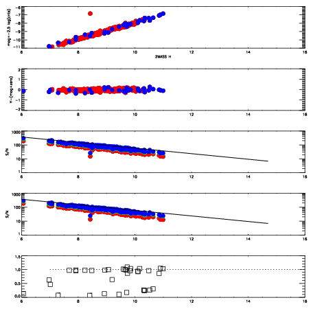
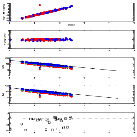
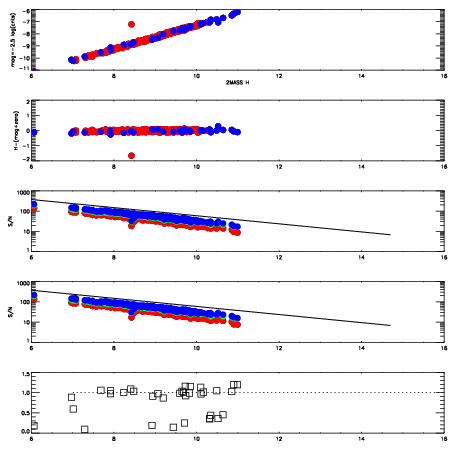
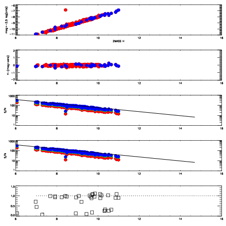
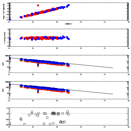
Frame | Nreads | Zeropoints | Mag plots
| Spatial mag deviation
| Spatial sky 16325A emission deviations (filled: sky, open: star)
| Spatial sky continuum emission
| Spatial sky telluric CO2 absorption deviations (filled: H < 10)
|
3090008
| 47
| | Red | Green | Blue
| z | | 17.95
| znorm | | 13.77
| sky | 14.6 | 14.2 | 14.1
| S/N | 8.6 | 14.3 | 14.9
| S/N(c) | 9.3 | 10.1 | 7.0
| SN(E/C) | 0.94
|
|
|
|
|
|
|
3090009
| 47
| | Red | Green | Blue
| z | | 18.07
| znorm | | 13.89
| sky | 14.7 | 14.5 | 14.4
| S/N | 8.9 | 14.5 | 14.9
| S/N(c) | 9.7 | 10.6 | 7.5
| SN(E/C) | 0.93
|
|
|
|
|
|
|
3090010
| 47
| | Red | Green | Blue
| z | | 18.19
| znorm | | 14.00
| sky | 14.6 | 14.5 | 14.3
| S/N | 9.6 | 15.6 | 16.2
| S/N(c) | 10.2 | 11.2 | 8.0
| SN(E/C) | 0.91
|
|
|
|
|
|
|
3090011
| 47
| | Red | Green | Blue
| z | | 17.94
| znorm | | 13.76
| sky | 14.8 | 14.5 | 14.4
| S/N | 8.6 | 14.3 | 14.8
| S/N(c) | 8.9 | 9.9 | 7.1
| SN(E/C) | 0.96
|
|
|
|
|
|
|
3090012
| 47
| | Red | Green | Blue
| z | | 17.38
| znorm | | 13.20
| sky | 14.6 | 14.7 | 14.6
| S/N | 5.7 | 10.2 | 10.8
| S/N(c) | 6.5 | 7.6 | 5.5
| SN(E/C) | 0.99
|
|
|
|
|
|
|
3090013
| 47
| | Red | Green | Blue
| z | | 17.31
| znorm | | 13.12
| sky | 14.8 | 14.7 | 14.7
| S/N | 5.4 | 9.8 | 10.5
| S/N(c) | 6.2 | 7.3 | 5.3
| SN(E/C) | 0.97
|
|
|
|
|
|
|
3090014
| 47
| | Red | Green | Blue
| z | | 18.01
| znorm | | 13.83
| sky | 14.6 | 14.5 | 14.3
| S/N | 8.7 | 14.4 | 15.0
| S/N(c) | 9.2 | 10.3 | 7.4
| SN(E/C) | 0.92
|
|
|
|
|
|
|
3090015
| 47
| | Red | Green | Blue
| z | | 18.36
| znorm | | 14.18
| sky | 14.5 | 14.4 | 14.3
| S/N | 11.0 | 17.4 | 18.4
| S/N(c) | 11.1 | 12.2 | 8.9
| SN(E/C) | 0.91
|
|
|
|
|
|
|