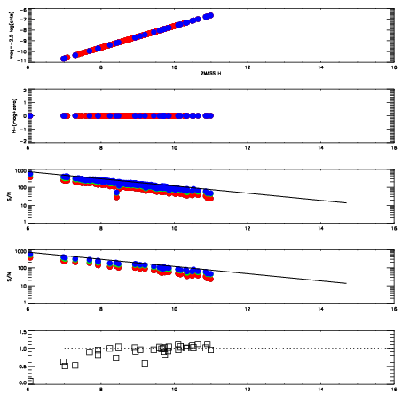
Left plots: red are targets, blue are telluric. Observed mags are calculated from median value of green chip. Zeropoint gives overall throughput: bigger number is more throughput.
First spatial plots: circles are objects, squares are tellurics, crosses are sky fibers. Colors give deviation of observed mag from expected 2MASS mag using the median zeropoint; red is brighter
Second spatial plots: circles are sky fibers. Colors give sky line brightness relative to plate median sky line brightness
FrameNreadsZeropointsMag plots Spatial mag deviation Spatial sky 16325A emission deviations (filled: sky, open: star) Spatial sky continuum emission Spatial sky telluric CO2 absorption deviations (filled: H < 10)
0 0
RedGreenBlue
z17.64
znorm Inf
sky -Inf -Inf -Inf
S/N 14.7 25.6 27.7
S/N(c) 0.0 0.0 0.0
SN(E/C) 0.98

IPAIRNAMESHIFTNEWSHIFTS/N NAMESHIFTNEWSHIFTS/N
0 03090013 0.493344 0.00000 17.3012 03090012 -0.00357650 0.496920 17.3742
1 03090010 0.491582 0.00176200 18.1792 03090015 -0.00369716 0.497041 18.3548
2 03090009 0.492641 0.000703007 18.0571 03090008 0.00000 0.493344 17.9489
3 03090014 0.491614 0.00173000 18.0036 03090011 -0.00131452 0.494659 17.9318