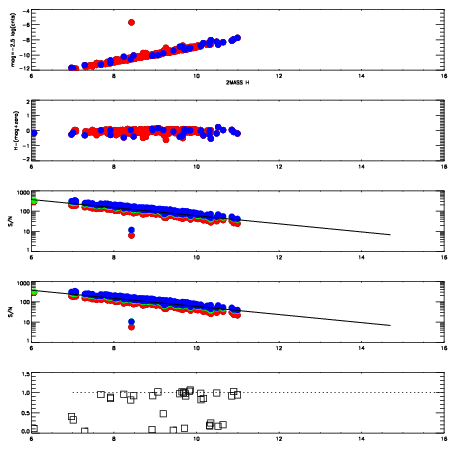
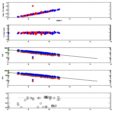
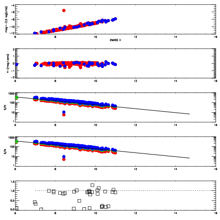
Frame | Nreads | Zeropoints | Mag plots
| Spatial mag deviation
| Spatial sky 16325A emission deviations (filled: sky, open: star)
| Spatial sky continuum emission
| Spatial sky telluric CO2 absorption deviations (filled: H < 10)
|
3100014
| 47
| | Red | Green | Blue
| z | | 18.99
| znorm | | 14.81
| sky | 14.2 | 13.9 | 13.7
| S/N | 15.6 | 23.9 | 25.2
| S/N(c) | 15.5 | 16.3 | 11.6
| SN(E/C) | 0.86
|
|
|
|
|
|
|
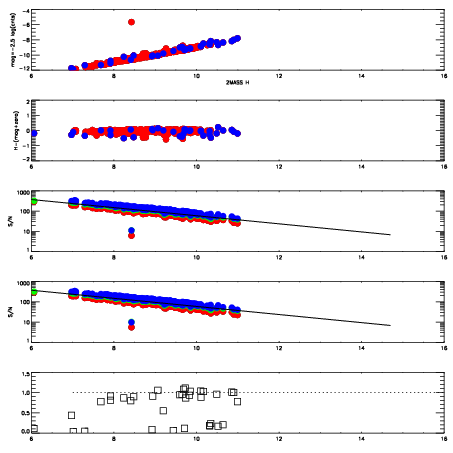
3100015
| 47
| | Red | Green | Blue
| z | | 18.93
| znorm | | 14.75
| sky | 14.2 | 14.1 | 14.0
| S/N | 14.8 | 22.9 | 24.5
| S/N(c) | 14.8 | 15.9 | 11.5
| SN(E/C) | 0.88
|
|
|
|
|
|
|
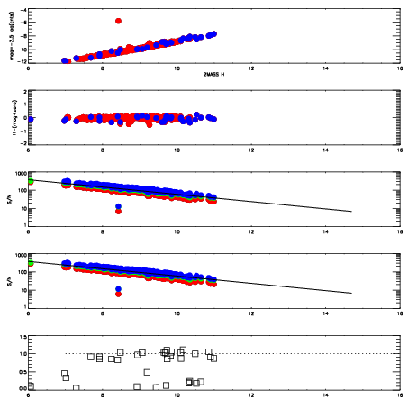
3100016
| 47
| | Red | Green | Blue
| z | | 18.98
| znorm | | 14.80
| sky | 14.3 | 14.1 | 14.0
| S/N | 15.4 | 23.7 | 25.6
| S/N(c) | 15.2 | 16.2 | 12.0
| SN(E/C) | 0.87
|
|
|
|
|
|
|
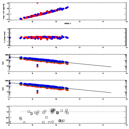
3100017
| 47
| | Red | Green | Blue
| z | | 18.74
| znorm | | 14.56
| sky | 14.4 | 14.2 | 14.0
| S/N | 13.5 | 20.9 | 22.9
| S/N(c) | 13.5 | 14.7 | 10.8
| SN(E/C) | 0.89
|
|
|
|
|
|
|
3100018
| 47
| | Red | Green | Blue
| z | | 18.80
| znorm | | 14.62
| sky | 14.3 | 14.1 | 14.1
| S/N | 14.2 | 21.9 | 24.0
| S/N(c) | 14.0 | 15.3 | 11.1
| SN(E/C) | 0.86
|
|
|
|
|
|
|
3100019
| 47
| | Red | Green | Blue
| z | | 18.86
| znorm | | 14.68
| sky | 14.3 | 14.2 | 14.0
| S/N | 14.6 | 22.6 | 24.9
| S/N(c) | 14.4 | 15.7 | 11.4
| SN(E/C) | 0.89
|
|
|
|
|
|
|
3100020
| 47
| | Red | Green | Blue
| z | | 18.83
| znorm | | 14.65
| sky | 14.4 | 14.2 | 14.0
| S/N | 14.4 | 22.3 | 24.8
| S/N(c) | 14.2 | 15.4 | 11.3
| SN(E/C) | 0.86
|
|
|
|
|
|
|
3100021
| 47
| | Red | Green | Blue
| z | | 19.01
| znorm | | 14.83
| sky | 14.2 | 14.2 | 14.0
| S/N | 15.9 | 24.3 | 26.8
| S/N(c) | 15.4 | 16.6 | 12.3
| SN(E/C) | 0.88
|
|
|
|
|
|
|