Frame | Nreads | Zeropoints | Mag plots
| Spatial mag deviation
| Spatial sky 16325A emission deviations (filled: sky, open: star)
| Spatial sky continuum emission
| Spatial sky telluric CO2 absorption deviations (filled: H < 10)
|
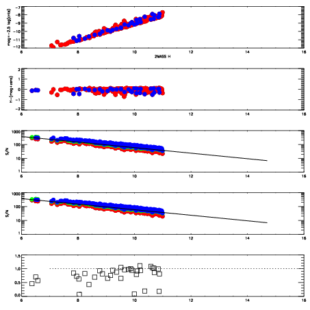
3120010
| 47
| | Red | Green | Blue
| z | | 18.99
| znorm | | 14.81
| sky | 14.3 | 14.0 | 13.7
| S/N | 18.7 | 26.5 | 28.6
| S/N(c) | 25.3 | 28.3 | 8.8
| SN(E/C) | 0.83
|
|
|
|
|
|
|
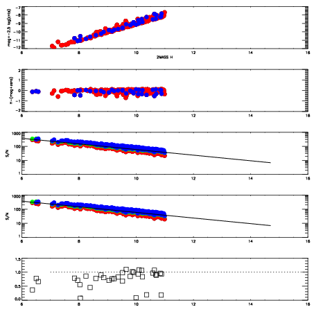
3120011
| 47
| | Red | Green | Blue
| z | | 18.96
| znorm | | 14.78
| sky | 14.3 | 14.3 | 14.1
| S/N | 18.1 | 26.1 | 28.4
| S/N(c) | 24.6 | 27.7 | 8.7
| SN(E/C) | 0.79
|
|
|
|
|
|
|
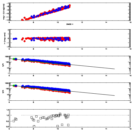
3120012
| 47
| | Red | Green | Blue
| z | | 18.96
| znorm | | 14.78
| sky | 14.5 | 14.3 | 14.2
| S/N | 18.1 | 26.2 | 29.0
| S/N(c) | 24.6 | 27.7 | 8.8
| SN(E/C) | 0.79
|
|
|
|
|
|
|
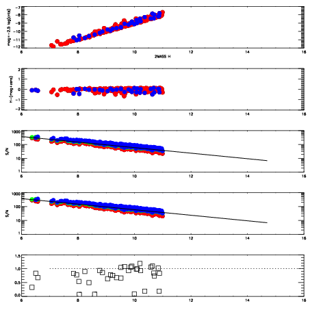
3120013
| 47
| | Red | Green | Blue
| z | | 19.03
| znorm | | 14.85
| sky | 14.6 | 14.3 | 14.2
| S/N | 18.8 | 27.1 | 29.9
| S/N(c) | 25.3 | 28.5 | 9.0
| SN(E/C) | 0.82
|
|
|
|
|
|
|
3120014
| 47
| | Red | Green | Blue
| z | | 19.07
| znorm | | 14.89
| sky | 14.5 | 14.3 | 14.2
| S/N | 19.1 | 27.4 | 30.3
| S/N(c) | 25.7 | 28.7 | 9.1
| SN(E/C) | 0.82
|
|
|
|
|
|
|
3120015
| 47
| | Red | Green | Blue
| z | | 19.08
| znorm | | 14.90
| sky | 14.5 | 14.3 | 14.1
| S/N | 19.3 | 27.7 | 30.6
| S/N(c) | 25.8 | 29.0 | 9.2
| SN(E/C) | 0.84
|
|
|
|
|
|
|
3120016
| 47
| | Red | Green | Blue
| z | | 19.12
| znorm | | 14.94
| sky | 14.6 | 14.3 | 14.1
| S/N | 19.6 | 28.3 | 31.1
| S/N(c) | 26.3 | 29.3 | 9.5
| SN(E/C) | 0.80
|
|
|
|
|
|
|
3120017
| 47
| | Red | Green | Blue
| z | | 19.09
| znorm | | 14.91
| sky | 14.5 | 14.2 | 14.1
| S/N | 19.4 | 28.0 | 31.0
| S/N(c) | 26.0 | 29.0 | 9.2
| SN(E/C) | 0.81
|
|
|
|
|
|
|