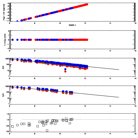
Left plots: red are targets, blue are telluric. Observed mags are calculated from median value of green chip. Zeropoint gives overall throughput: bigger number is more throughput.
First spatial plots: circles are objects, squares are tellurics, crosses are sky fibers. Colors give deviation of observed mag from expected 2MASS mag using the median zeropoint; red is brighter
Second spatial plots: circles are sky fibers. Colors give sky line brightness relative to plate median sky line brightness
FrameNreadsZeropointsMag plots Spatial mag deviation Spatial sky 16325A emission deviations (filled: sky, open: star) Spatial sky continuum emission Spatial sky telluric CO2 absorption deviations (filled: H < 10)
0 0
RedGreenBlue
z17.64
znorm Inf
sky -Inf -NaN -Inf
S/N 26.5 45.0 47.6
S/N(c) 0.0 0.0 0.0
SN(E/C) 0.82

IPAIRNAMESHIFTNEWSHIFTS/N NAMESHIFTNEWSHIFTS/N
0 10250031 0.504722 0.00000 19.0835 10250030 0.00445208 0.500270 19.0369
1 10250032 0.504532 0.000190020 19.0990 10250033 0.00605095 0.498671 19.1246
2 10250027 0.502924 0.00179797 18.9601 10250029 0.00437886 0.500343 18.9990
3 10250028 0.503558 0.00116402 18.9261 10250026 0.00000 0.504722 18.9223