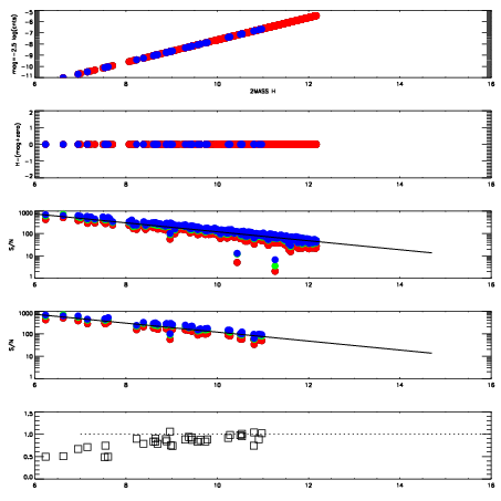
Left plots: red are targets, blue are telluric. Observed mags are calculated from median value of green chip. Zeropoint gives overall throughput: bigger number is more throughput.
First spatial plots: circles are objects, squares are tellurics, crosses are sky fibers. Colors give deviation of observed mag from expected 2MASS mag using the median zeropoint; red is brighter
Second spatial plots: circles are sky fibers. Colors give sky line brightness relative to plate median sky line brightness
FrameNreadsZeropointsMag plots Spatial mag deviation Spatial sky 16325A emission deviations (filled: sky, open: star) Spatial sky continuum emission Spatial sky telluric CO2 absorption deviations (filled: H < 10)
0 0
RedGreenBlue
z17.64
znorm Inf
sky -Inf -NaN -Inf
S/N 24.9 43.3 45.3
S/N(c) 0.0 0.0 0.0
SN(E/C) 0.87

IPAIRNAMESHIFTNEWSHIFTS/N NAMESHIFTNEWSHIFTS/N
0 10460013 0.505323 0.00000 19.0086 10460014 0.00256342 0.502760 18.9903
1 10460012 0.505000 0.000322998 19.0079 10460011 0.00000 0.505323 18.9891
2 10460016 0.504604 0.000719011 18.9685 10460015 0.00211927 0.503204 18.9619
3 10460017 0.504995 0.000328004 18.8982 10460018 0.00402554 0.501297 18.9045