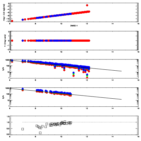
Left plots: red are targets, blue are telluric. Observed mags are calculated from median value of green chip. Zeropoint gives overall throughput: bigger number is more throughput.
First spatial plots: circles are objects, squares are tellurics, crosses are sky fibers. Colors give deviation of observed mag from expected 2MASS mag using the median zeropoint; red is brighter
Second spatial plots: circles are sky fibers. Colors give sky line brightness relative to plate median sky line brightness
FrameNreadsZeropointsMag plots Spatial mag deviation Spatial sky 16325A emission deviations (filled: sky, open: star) Spatial sky continuum emission Spatial sky telluric CO2 absorption deviations (filled: H < 10)
0 0
RedGreenBlue
z17.64
znorm Inf
sky -Inf -NaN -Inf
S/N 30.7 51.4 54.4
S/N(c) 0.0 0.0 0.0
SN(E/C) 0.86

IPAIRNAMESHIFTNEWSHIFTS/N NAMESHIFTNEWSHIFTS/N
0 10260038 0.488781 0.00000 19.2212 10260040 -0.00106519 0.489846 19.2076
1 10260041 0.487109 0.00167200 19.2033 10260043 -0.00102235 0.489803 19.2074
2 10260042 0.487269 0.00151199 19.1957 10260039 -0.000861585 0.489643 19.1729
3 10260037 0.488380 0.000400990 19.1603 10260036 0.00000 0.488781 19.1270