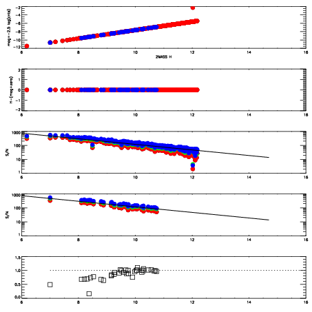
Left plots: red are targets, blue are telluric. Observed mags are calculated from median value of green chip. Zeropoint gives overall throughput: bigger number is more throughput.
First spatial plots: circles are objects, squares are tellurics, crosses are sky fibers. Colors give deviation of observed mag from expected 2MASS mag using the median zeropoint; red is brighter
Second spatial plots: circles are sky fibers. Colors give sky line brightness relative to plate median sky line brightness
FrameNreadsZeropointsMag plots Spatial mag deviation Spatial sky 16325A emission deviations (filled: sky, open: star) Spatial sky continuum emission Spatial sky telluric CO2 absorption deviations (filled: H < 10)
0 0
RedGreenBlue
z17.64
znorm Inf
sky -Inf -Inf -Inf
S/N 27.3 45.7 48.0
S/N(c) 0.0 0.0 0.0
SN(E/C) 0.93

IPAIRNAMESHIFTNEWSHIFTS/N NAMESHIFTNEWSHIFTS/N
0 10540028 0.502043 0.00000 18.8793 10540033 0.00186115 0.500182 18.9339
1 10540027 0.501945 9.79900e-05 19.0520 10540026 0.00000 0.502043 19.0622
2 10540032 0.501621 0.000422001 18.9397 10540029 0.00509620 0.496947 19.0406
3 10540031 0.501073 0.000970006 18.8180 10540030 0.00445340 0.497590 18.9278