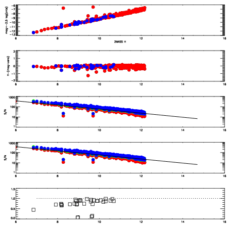
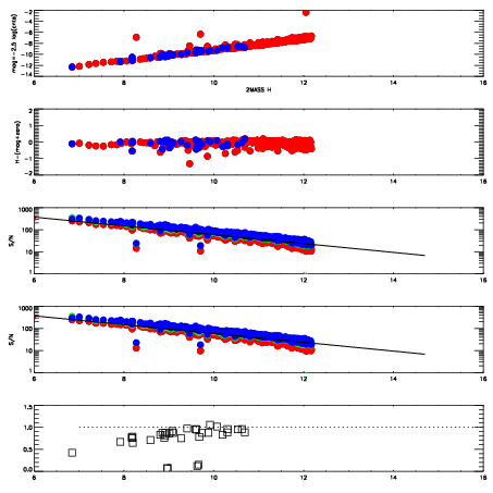
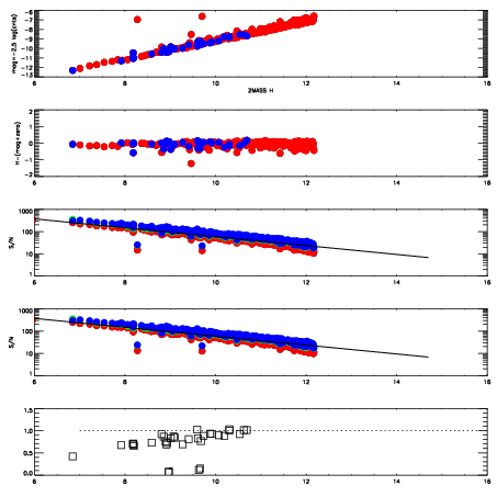
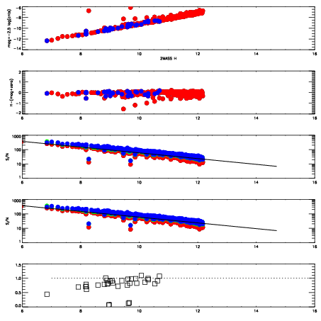
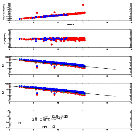
Frame | Nreads | Zeropoints | Mag plots
| Spatial mag deviation
| Spatial sky 16325A emission deviations (filled: sky, open: star)
| Spatial sky continuum emission
| Spatial sky telluric CO2 absorption deviations (filled: H < 10)
|
9720025
| 47
| | Red | Green | Blue
| z | | 19.20
| znorm | | 15.02
| sky | 14.6 | 14.4 | 14.4
| S/N | 17.6 | 27.9 | 28.2
| S/N(c) | 10.1 | 9.8 | 5.2
| SN(E/C) | 0.80
|
|
|
|
|
|
|
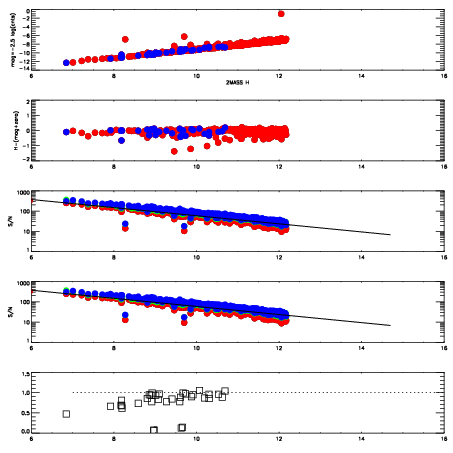
9720026
| 47
| | Red | Green | Blue
| z | | 19.21
| znorm | | 15.03
| sky | 14.6 | 14.8 | 14.8
| S/N | 17.3 | 27.7 | 28.7
| S/N(c) | 10.0 | 9.8 | 5.3
| SN(E/C) | 0.82
|
|
|
|
|
|
|
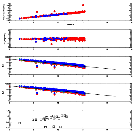
9720027
| 47
| | Red | Green | Blue
| z | | 19.23
| znorm | | 15.05
| sky | 14.5 | 14.7 | 14.7
| S/N | 17.4 | 27.9 | 28.8
| S/N(c) | 10.0 | 9.9 | 5.4
| SN(E/C) | 0.79
|
|
|
|
|
|
|
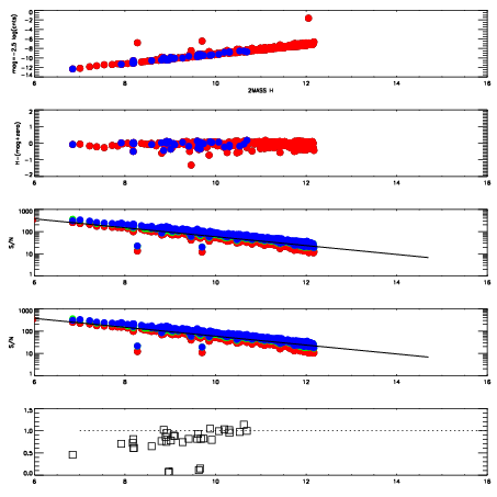
9720028
| 47
| | Red | Green | Blue
| z | | 19.24
| znorm | | 15.06
| sky | 14.8 | 14.7 | 14.9
| S/N | 17.4 | 27.6 | 28.8
| S/N(c) | 9.8 | 10.0 | 5.4
| SN(E/C) | 0.85
|
|
|
|
|
|
|
9720029
| 47
| | Red | Green | Blue
| z | | 19.23
| znorm | | 15.05
| sky | 14.5 | 14.6 | 14.9
| S/N | 17.5 | 27.7 | 28.7
| S/N(c) | 9.7 | 9.9 | 5.4
| SN(E/C) | 0.82
|
|
|
|
|
|
|
9720030
| 47
| | Red | Green | Blue
| z | | 19.26
| znorm | | 15.08
| sky | 14.5 | 14.8 | 14.8
| S/N | 17.4 | 27.7 | 28.8
| S/N(c) | 9.7 | 9.9 | 5.4
| SN(E/C) | 0.82
|
|
|
|
|
|
|
9720031
| 47
| | Red | Green | Blue
| z | | 19.24
| znorm | | 15.06
| sky | 14.8 | 14.8 | 14.8
| S/N | 17.3 | 27.4 | 28.4
| S/N(c) | 9.5 | 9.9 | 5.3
| SN(E/C) | 0.85
|
|
|
|
|
|
|
9720032
| 47
| | Red | Green | Blue
| z | | 19.24
| znorm | | 15.06
| sky | 14.8 | 15.0 | 14.8
| S/N | 16.8 | 27.5 | 28.8
| S/N(c) | 9.8 | 10.1 | 5.6
| SN(E/C) | 0.86
|
|
|
|
|
|
|