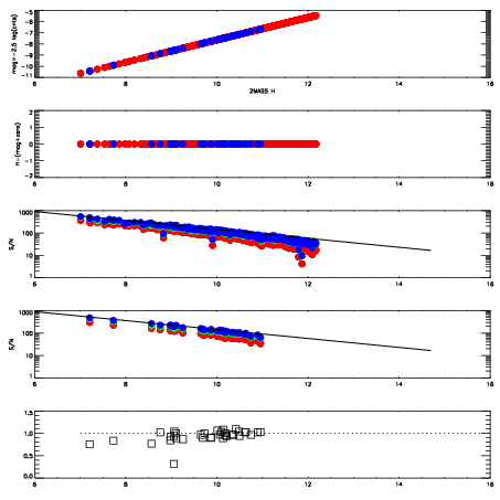
Left plots: red are targets, blue are telluric. Observed mags are calculated from median value of green chip. Zeropoint gives overall throughput: bigger number is more throughput.
First spatial plots: circles are objects, squares are tellurics, crosses are sky fibers. Colors give deviation of observed mag from expected 2MASS mag using the median zeropoint; red is brighter
Second spatial plots: circles are sky fibers. Colors give sky line brightness relative to plate median sky line brightness
FrameNreadsZeropointsMag plots Spatial mag deviation Spatial sky 16325A emission deviations (filled: sky, open: star) Spatial sky continuum emission Spatial sky telluric CO2 absorption deviations (filled: H < 10)
0 0
RedGreenBlue
z17.64
znorm Inf
sky -NaN -NaN -Inf
S/N 18.5 34.4 35.4
S/N(c) 0.0 0.0 0.0
SN(E/C) 0.96

IPAIRNAMESHIFTNEWSHIFTS/N NAMESHIFTNEWSHIFTS/N
0 06960028 0.490490 0.00000 18.0072 06960037 0.00550953 0.484980 17.8628
1 06960035 0.488670 0.00182000 18.4812 06960033 0.00418552 0.486304 18.5088
2 06960032 0.488654 0.00183600 18.4069 06960034 0.00461524 0.485875 18.4635
3 06960036 0.489164 0.00132599 18.1641 06960029 0.00384174 0.486648 18.1375
4 06960031 0.488263 0.00222698 18.0559 06960026 0.00000 0.490490 18.1193
5 06960027 0.489985 0.000505000 18.0364 06960030 0.00201734 0.488473 18.1170