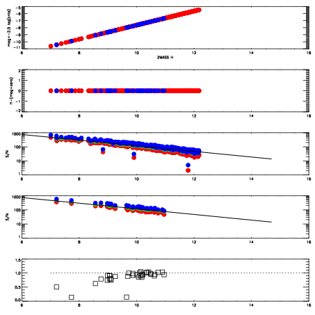
Left plots: red are targets, blue are telluric. Observed mags are calculated from median value of green chip. Zeropoint gives overall throughput: bigger number is more throughput.
First spatial plots: circles are objects, squares are tellurics, crosses are sky fibers. Colors give deviation of observed mag from expected 2MASS mag using the median zeropoint; red is brighter
Second spatial plots: circles are sky fibers. Colors give sky line brightness relative to plate median sky line brightness
FrameNreadsZeropointsMag plots Spatial mag deviation Spatial sky 16325A emission deviations (filled: sky, open: star) Spatial sky continuum emission Spatial sky telluric CO2 absorption deviations (filled: H < 10)
0 0
RedGreenBlue
z17.64
znorm Inf
sky -Inf -NaN -Inf
S/N 27.0 46.8 48.5
S/N(c) 0.0 0.0 0.0
SN(E/C) 0.91

IPAIRNAMESHIFTNEWSHIFTS/N NAMESHIFTNEWSHIFTS/N
0 07000028 0.480406 0.00000 19.0113 07000022 0.00000 0.480406 18.9972
1 07000024 0.478836 0.00156999 19.0870 07000025 0.00235911 0.478047 19.0846
2 07000023 0.477806 0.00259998 19.0785 07000026 0.00244273 0.477963 19.0734
3 07000027 0.478504 0.00190198 19.0635 07000029 0.00212942 0.478277 19.0479