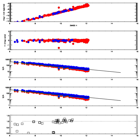
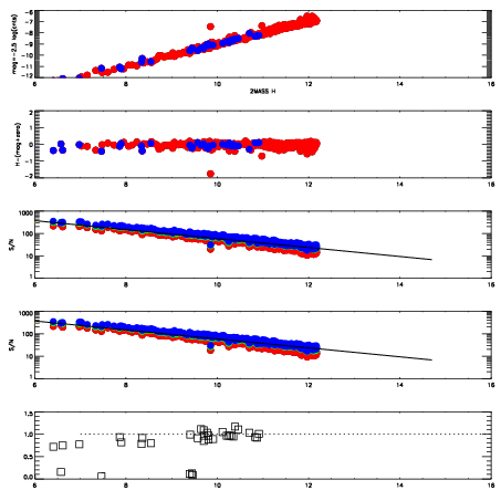
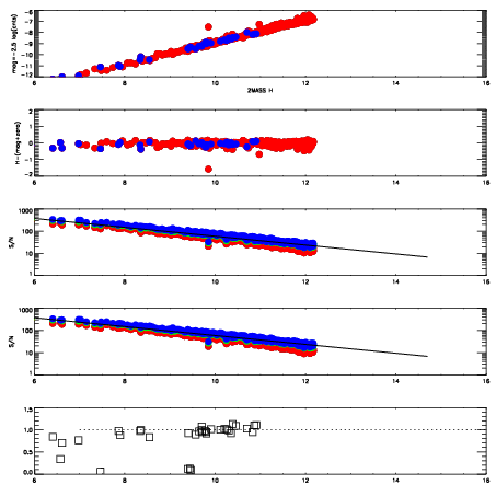
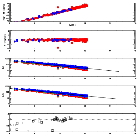
Left plots: red are targets, blue are telluric. Observed mags are calculated from median value of green chip. Zeropoint gives overall throughput: bigger number is more throughput.
First spatial plots: circles are objects, squares are tellurics, crosses are sky fibers. Colors give deviation of observed mag from expected 2MASS mag using the median zeropoint; red is brighter
Second spatial plots: circles are sky fibers. Colors give sky line brightness relative to plate median sky line brightness
FrameNreadsZeropointsMag plots Spatial mag deviation Spatial sky 16325A emission deviations (filled: sky, open: star) Spatial sky continuum emission Spatial sky telluric CO2 absorption deviations (filled: H < 10)
3050046 47
RedGreenBlue
z19.02
znorm14.84
sky 14.8 14.7 14.6
S/N 15.8 23.6 25.5
S/N(c) 15.4 12.0 15.0
SN(E/C) 0.96
3050047 47
RedGreenBlue
z19.04
znorm14.86
sky 14.8 14.7 14.9
S/N 15.8 23.9 26.3
S/N(c) 15.8 12.2 15.4
SN(E/C) 0.92
3050048 47
RedGreenBlue
z18.96
znorm14.78
sky 15.0 14.8 15.1
S/N 14.7 23.2 25.5
S/N(c) 15.0 11.7 14.9
SN(E/C) 0.96
3050049 47
RedGreenBlue
z18.92
znorm14.74
sky 15.0 14.8 15.0
S/N 14.5 22.5 25.1
S/N(c) 14.6 11.5 14.7
SN(E/C) 0.95