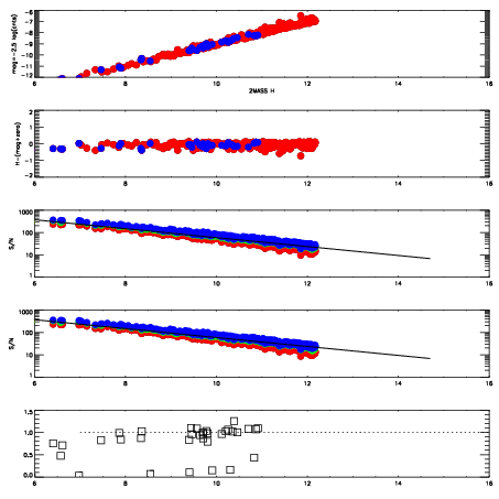
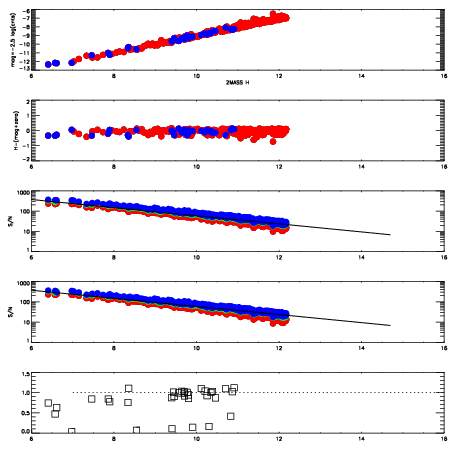
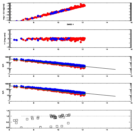
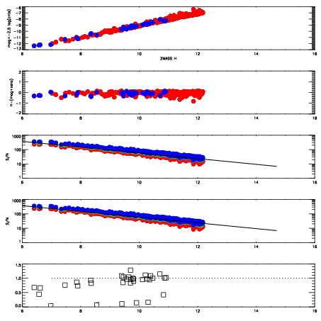
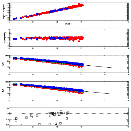
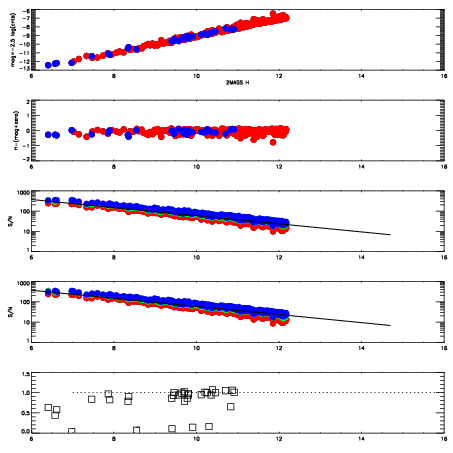
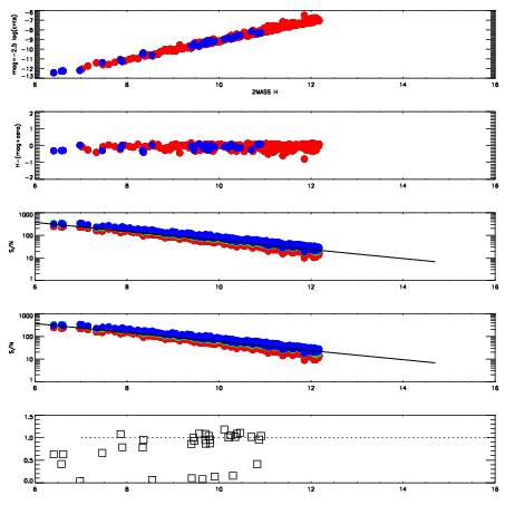
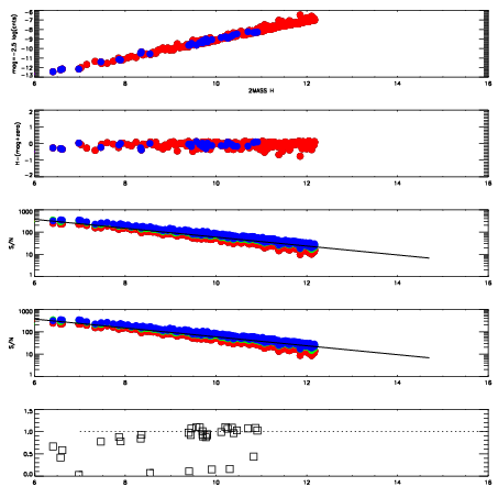
Frame | Nreads | Zeropoints | Mag plots
| Spatial mag deviation
| Spatial sky 16325A emission deviations (filled: sky, open: star)
| Spatial sky continuum emission
| Spatial sky telluric CO2 absorption deviations (filled: H < 10)
|
10230060
| 47
| | Red | Green | Blue
| z | | 19.06
| znorm | | 14.88
| sky | 14.9 | 14.6 | 14.5
| S/N | 15.6 | 24.2 | 25.8
| S/N(c) | 23.7 | 25.3 | 7.4
| SN(E/C) | 0.90
|
|
|
|
|
|
|
10230061
| 47
| | Red | Green | Blue
| z | | 19.10
| znorm | | 14.92
| sky | 14.8 | 14.5 | 14.7
| S/N | 16.1 | 24.6 | 26.7
| S/N(c) | 24.2 | 25.8 | 7.6
| SN(E/C) | 0.93
|
|
|
|
|
|
|
10230062
| 47
| | Red | Green | Blue
| z | | 19.08
| znorm | | 14.90
| sky | 14.9 | 14.6 | 14.6
| S/N | 15.8 | 24.6 | 26.5
| S/N(c) | 23.9 | 26.0 | 7.5
| SN(E/C) | 0.91
|
|
|
|
|
|
|
10230063
| 47
| | Red | Green | Blue
| z | | 19.14
| znorm | | 14.96
| sky | 14.9 | 14.6 | 14.6
| S/N | 16.6 | 25.4 | 27.5
| S/N(c) | 24.7 | 26.4 | 7.7
| SN(E/C) | 0.91
|
|
|
|
|
|
|
10230064
| 47
| | Red | Green | Blue
| z | | 19.14
| znorm | | 14.96
| sky | 14.6 | 14.6 | 14.8
| S/N | 16.5 | 25.6 | 27.9
| S/N(c) | 24.7 | 26.4 | 7.8
| SN(E/C) | 0.94
|
|
|
|
|
|
|
10230065
| 47
| | Red | Green | Blue
| z | | 19.16
| znorm | | 14.98
| sky | 14.8 | 14.6 | 14.7
| S/N | 16.7 | 26.3 | 27.9
| S/N(c) | 24.9 | 26.9 | 7.9
| SN(E/C) | 0.91
|
|
|
|
|
|
|
10230066
| 47
| | Red | Green | Blue
| z | | 19.11
| znorm | | 14.93
| sky | 14.7 | 14.8 | 14.7
| S/N | 16.2 | 25.4 | 27.1
| S/N(c) | 24.0 | 26.3 | 7.7
| SN(E/C) | 0.93
|
|
|
|
|
|
|
10230067
| 47
| | Red | Green | Blue
| z | | 19.05
| znorm | | 14.87
| sky | 14.8 | 14.8 | 14.9
| S/N | 15.4 | 24.7 | 26.7
| S/N(c) | 23.6 | 25.6 | 7.5
| SN(E/C) | 0.96
|
|
|
|
|
|
|
10230068
| 47
| | Red | Green | Blue
| z | | 19.09
| znorm | | 14.90
| sky | 14.7 | 14.7 | 14.7
| S/N | 15.7 | 25.2 | 26.9
| S/N(c) | 23.9 | 26.0 | 7.7
| SN(E/C) | 0.90
|
|
|
|
|
|
|
10230069
| 47
| | Red | Green | Blue
| z | | 19.09
| znorm | | 14.91
| sky | 14.7 | 14.7 | 14.7
| S/N | 16.0 | 24.8 | 27.5
| S/N(c) | 23.8 | 25.9 | 7.6
| SN(E/C) | 0.92
|
|
|
|
|
|
|