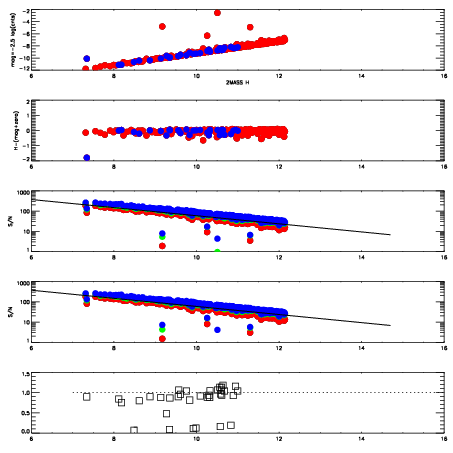
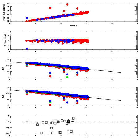
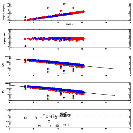
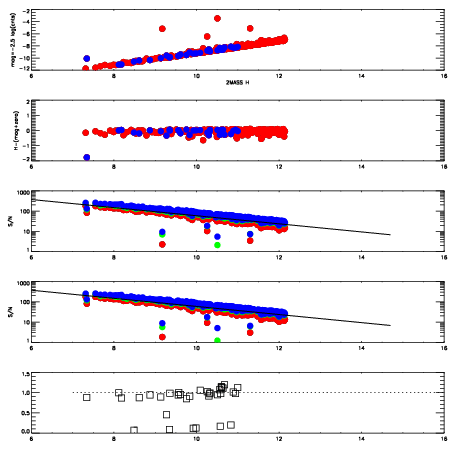
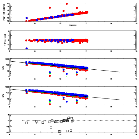
Frame | Nreads | Zeropoints | Mag plots
| Spatial mag deviation
| Spatial sky 16325A emission deviations (filled: sky, open: star)
| Spatial sky continuum emission
| Spatial sky telluric CO2 absorption deviations (filled: H < 10)
|
9980048
| 47
| | Red | Green | Blue
| z | | 18.96
| znorm | | 14.78
| sky | 14.9 | 14.5 | 14.8
| S/N | 14.3 | 23.2 | 24.1
| S/N(c) | 14.5 | 15.4 | 8.2
| SN(E/C) | 0.95
|
|
|
|
|
|
|
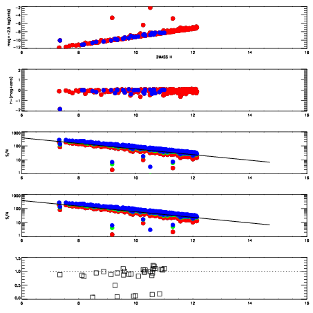
9980049
| 47
| | Red | Green | Blue
| z | | 19.20
| znorm | | 15.01
| sky | 14.9 | 14.6 | 14.7
| S/N | 16.3 | 26.2 | 27.9
| S/N(c) | 16.5 | 17.4 | 9.2
| SN(E/C) | 0.95
|
|
|
|
|
|
|
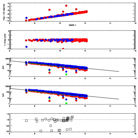
9980050
| 47
| | Red | Green | Blue
| z | | 19.24
| znorm | | 15.06
| sky | 14.6 | 14.4 | 14.8
| S/N | 16.7 | 27.1 | 28.8
| S/N(c) | 17.1 | 17.8 | 9.4
| SN(E/C) | 0.90
|
|
|
|
|
|
|
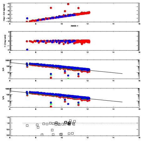
9980051
| 47
| | Red | Green | Blue
| z | | 19.21
| znorm | | 15.03
| sky | 14.6 | 14.6 | 14.8
| S/N | 16.5 | 26.5 | 28.2
| S/N(c) | 16.8 | 17.5 | 9.3
| SN(E/C) | 0.94
|
|
|
|
|
|
|
9980052
| 47
| | Red | Green | Blue
| z | | 19.22
| znorm | | 15.04
| sky | 14.7 | 14.8 | 14.7
| S/N | 16.3 | 26.7 | 28.4
| S/N(c) | 16.9 | 17.5 | 9.3
| SN(E/C) | 0.94
|
|
|
|
|
|
|
9980053
| 47
| | Red | Green | Blue
| z | | 19.25
| znorm | | 15.07
| sky | 14.8 | 14.7 | 14.7
| S/N | 16.9 | 27.4 | 29.2
| S/N(c) | 17.3 | 17.9 | 9.5
| SN(E/C) | 0.93
|
|
|
|
|
|
|
9980054
| 47
| | Red | Green | Blue
| z | | 19.25
| znorm | | 15.07
| sky | 14.7 | 14.7 | 14.7
| S/N | 16.7 | 27.5 | 29.1
| S/N(c) | 17.3 | 17.8 | 9.6
| SN(E/C) | 0.92
|
|
|
|
|
|
|
9980055
| 47
| | Red | Green | Blue
| z | | 19.22
| znorm | | 15.04
| sky | 14.6 | 14.6 | 14.8
| S/N | 16.4 | 26.9 | 28.6
| S/N(c) | 16.9 | 17.5 | 9.4
| SN(E/C) | 0.94
|
|
|
|
|
|
|