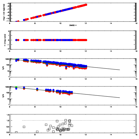
Left plots: red are targets, blue are telluric. Observed mags are calculated from median value of green chip. Zeropoint gives overall throughput: bigger number is more throughput.
First spatial plots: circles are objects, squares are tellurics, crosses are sky fibers. Colors give deviation of observed mag from expected 2MASS mag using the median zeropoint; red is brighter
Second spatial plots: circles are sky fibers. Colors give sky line brightness relative to plate median sky line brightness
FrameNreadsZeropointsMag plots Spatial mag deviation Spatial sky 16325A emission deviations (filled: sky, open: star) Spatial sky continuum emission Spatial sky telluric CO2 absorption deviations (filled: H < 10)
0 0
RedGreenBlue
z17.64
znorm Inf
sky -Inf -NaN -Inf
S/N 33.0 56.6 61.9
S/N(c) 0.0 0.0 0.0
SN(E/C) 0.32

IPAIRNAMESHIFTNEWSHIFTS/N NAMESHIFTNEWSHIFTS/N
0 03410094 0.498076 0.00000 18.9728 03410096 0.000672493 0.497404 19.0891
1 03410093 0.494742 0.00333399 19.1380 03410100 -0.00101680 0.499093 19.1287
2 03410098 0.492578 0.00549799 19.1311 03410099 -0.000396608 0.498473 19.1245
3 03410097 0.489163 0.00891298 19.0752 03410095 -0.000474870 0.498551 19.1173
4 03410102 0.491302 0.00677398 18.9775 03410092 0.00000 0.498076 19.0992