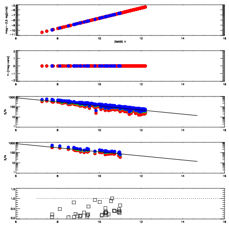
Left plots: red are targets, blue are telluric. Observed mags are calculated from median value of green chip. Zeropoint gives overall throughput: bigger number is more throughput.
First spatial plots: circles are objects, squares are tellurics, crosses are sky fibers. Colors give deviation of observed mag from expected 2MASS mag using the median zeropoint; red is brighter
Second spatial plots: circles are sky fibers. Colors give sky line brightness relative to plate median sky line brightness
FrameNreadsZeropointsMag plots Spatial mag deviation Spatial sky 16325A emission deviations (filled: sky, open: star) Spatial sky continuum emission Spatial sky telluric CO2 absorption deviations (filled: H < 10)
0 0
RedGreenBlue
z17.64
znorm Inf
sky -Inf -Inf -Inf
S/N 25.1 44.4 47.2
S/N(c) 0.0 0.0 0.0
SN(E/C) 0.29

IPAIRNAMESHIFTNEWSHIFTS/N NAMESHIFTNEWSHIFTS/N
0 04560015 0.498944 0.00000 18.9880 04560010 0.00000 0.498944 19.0447
1 04560016 0.498491 0.000453025 19.1358 04560017 0.00210861 0.496835 19.1830
2 04560012 0.497285 0.00165901 19.0531 04560014 0.00164665 0.497297 19.0779
3 04560011 0.496506 0.00243801 19.0313 04560013 0.00348167 0.495462 19.0727